Gauss過程モデルに連続尺度の説明変数だけが含まれる場合は、「Gauss」と「三次」の相関構造をモデルで用いることができます。
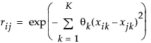
Gauss相関構造は、距離に対するべき乗を2とした、積-指数(product exponential)型の関数で表されます。Gauss過程モデルでは、Yが平均mで、共分散行列s2Rの正規分布に従うと仮定されます。Gauss相関構造においては、R行列の各要素が次のように定義されます。

ここで
K = 連続尺度の説明変数の数
qk = k番目の説明変数に対するθパラメータ
xik = 個体iに対するk番目の説明変数の値
xjk = 個体jに対するk番目の説明変数の値
三次相関構造でも、Yが平均mで、共分散行列s2Rの正規分布に従うと仮定されます。三次相関構造では、R行列の各要素は次のように定義されます。

ここで


詳細については、Santer(2003)を参照してください。三次相関構造で使用されるθパラメータは、文献で使用されているパラメータの逆数です。逆数を使えば、θがモデルに影響を与えない場合のρの値が無限でなく0になるためです。