この節では、「非線形計画」プラットフォームで使用するモデルについて説明します。n個の応答を含むベクトルをY = (Y1, Y2, ..., Yn)‘と表します。「非線形計画」プラットフォームで指定できる非線形モデルは、以下の性質をもつものです。
• Yiは互いに独立しており、指数分布族に属する同一の確率分布に従います。
• 説明変数のベクトルxiに対する、Yiの予測値は、パラメータqに関して非線形な関数で表されるとします。この非線形関数を次のように表します。

• Yiの式は次のとおりです。

• 誤差のベクトルe = (ε1, ε2, ..., εn)‘は、平均が0で、共分散列s2Iをもちます。ここで、Iはn × nの単位行列です。
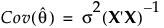
関数fをパラメータqについて一次偏微分した行列をXとします。通常の緩やかな条件において、qに対する最小2乗推定量は、漸近的に不偏であり、また、漸近的に次のような分散共分散行列をもちます。
