基本的な統計分析
>
一変量の分布
>
「一変量の分布」プラットフォームの統計的詳細
> 正規分位点の統計的詳細
公開日: 09/19/2023
正規分位点の統計的詳細
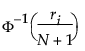
「一変量の分布」プラットフォームの正規分位点は、次の式で計算されます。
ここで
F
は、正規分布の累積確率分布関数
r
i
は、
i
番目の観測値の順位
N
は、欠測値でない観測値の個数(標本サイズ)
より詳細な情報が必要な場合や、質問があるときは、JMPユーザーコミュニティで答えを見つけましょう
(community.jmp.com)
.
このサイトはJavaScriptを有効にすると最適に動作します。