公開日: 09/19/2023

検出力の統計的詳細

「一元配置」プラットフォームでは、検出力の計算に非心F分布が使用されます。計算式は、次のとおりです(O’Brien and Lohr 1984)。

Power = Prob(F > Fcrit, n1, n2, nc)

この計算式で得られる検出力は、非心度パラメータnc、分子自由度n1、分母自由度n2F分布に従う確率変数が、 Fcrit = F(1-α, ν1, ν2) よりも大きくなる確率を指します。この棄却値は、n1およびn2の自由度を持つF分布の累積確率1 - aにおける分位点です。

n1 = r - 1は、分子自由度。

n2 = r(n - 1)は、分母自由度。

nは、各グループの標本サイズ。

rは、グループの個数。

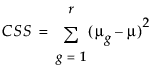
nc = n(CSS)/s2は、非心度パラメータ。

ここに式を表示 は、仮説の平方和。

mgは、g番目のグループの平均。

mは、全体平均。

s2は、誤差の分散。

より詳細な情報が必要な場合や、質問があるときは、JMPユーザーコミュニティで答えを見つけましょう (community.jmp.com).