誤差の伝播(POE: Propagation Of Error)は、因子をあまり正確に制御できないような状況において、因子におけるばらつき(変動)によって、応答の値もばらついてしまう状態を指します。
JMPのプロファイルは、まず因子と応答変数の列に「Sigma」列プロパティがあるかどうかを調べます。「Sigma」列プロパティは、列の標準偏差(シグマ)を指定するためのプロパティで、[列]>[列情報]をクリックすると表示されます。「Sigma」の列プロパティが存在する場合は、[予測プロファイル]ドロップダウンメニューの[誤差伝播の法則による区間]コマンドが選択可能になります。このコマンドを選択すると、因子のばらつきから推定される応答の3s区間が表示されます。
図3.43 予測プロファイルに緑色で表示された誤差伝播の法則による区間
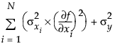
POEはグラフ内に緑色の線で表示されます。この線は、「POE分散」の平方根を3倍したものを予測値にプラスマイナスした範囲を示します。「POE分散」は、次式により計算されます。

ここで、σyは応答列に対してユーザが指定したシグマ、σxは因子列に対してユーザが指定したシグマです。
これらの偏微分は、次の数値微分によって計算されます。
dとして「Xの範囲÷10000」を用いた中心差分
POEの区間は、応答曲面の傾きが大きい部分では広くなります。因子のばらつきに対してロバスト(頑健)にするには、応答曲面が平らになっている場所を探し出し、因子のばらつきが応答に与える影響を最小限に抑えなければいけません。