公開日: 09/19/2023

スペクトル密度の統計的詳細

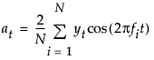
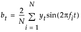
「時系列分析」プラットフォームでは、最小2乗法によるFourier級数の係数の推定値が次式で求められています。

ここに式を表示

ここに式を表示

これらの係数から、fi = i/Nに対するピリオドグラムI(fi) = (N/2)(ai2 + bi2)が計算されます。これは、周波数fiでの強度(intensity)を表しています。

ピリオドグラムを平滑化して1/(4p)を掛けものが、「スペクトル密度」としてプロットされます。

より詳細な情報が必要な場合や、質問があるときは、JMPユーザーコミュニティで答えを見つけましょう (community.jmp.com).