信頼性/生存時間分析 > 劣化データ分析 > 「劣化分析」プラットフォームでの安定性試験 > 「劣化分析」プラットフォームでの安定性試験の統計的詳細
公開日: 09/19/2023

「劣化分析」プラットフォームでの安定性試験の統計的詳細

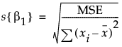
切片および傾きが別々のモデルの場合、線形劣化モデル(つまり、線形単回帰モデル)の切片と傾きの標準誤差について以下に説明します。

切片の標準誤差は、次式で求められます。

ここに式を表示

傾きの標準誤差は、次式で求められます。

ここに式を表示

より詳細な情報が必要な場合や、質問があるときは、JMPユーザーコミュニティで答えを見つけましょう (community.jmp.com).