基本的な統計分析
>
一変量の分布
>
「一変量の分布」プラットフォームの統計的詳細
> 標準誤差バーの統計的詳細
公開日: 09/19/2023
標準誤差バーの統計的詳細
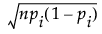
「一変量の分布」プラットフォームのヒストグラムに表示される標準誤差バーは、
で求めた標準誤差を表しています。この式で、
p
i
=
n
i
/
n
です。
より詳細な情報が必要な場合や、質問があるときは、JMPユーザーコミュニティで答えを見つけましょう
(community.jmp.com)
.
このサイトはJavaScriptを有効にすると最適に動作します。