この節では、EWMA管理図の作成に使用される統計量を説明します。これらの統計量の一部は、[要約の保存]コマンドで作成されたデータテーブルにも保存されます。
EWMA管理図上のi番目の点は次式で計算されます。
EWMAi = lXi + (1 - l)EWMAi-1
ここで
l = Lambdaパラメータ
Xi = i番目の標本値(またはサブグループの平均)
EWMAi-1 = (i-1)番目のEWMA値
i = 1の場合、EWMA0は目標値と定義されます。
メモ: [空のサブグループの後にEWMAを再開]オプションが選択されている場合、空のサブグループの後のEWMAi-1の値は目標値となります。[空のサブグループの後にEWMAを再開]オプションが選択されていない場合、空のサブグループの後のEWMAi-1の値は、空ではない最新のサブグループのEWMA値です。
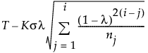
EWMA管理図上の管理限界の計算は、[一定の管理限界]オプションの設定で決まります。
[一定の管理限界]オプションを選択せず、サブグループのサイズが等しくない場合、EWMAの管理限界は次式で計算されます。
下側管理限界(LCL) = 
上側管理限界(UCL) = 
ここで
T = 目標値
K = Sigmaの乗数(デフォルトで3に設定)
s = Sigma値
i = 標本(またはサブグループ)の数
ni = サブグループiのサイズ
[一定の管理限界]オプションを選択せず、サブグループのサイズが等しい場合、EWMAの管理限界の式は次のように単純化されます。
下側管理限界(LCL) = 
上側管理限界(UCL) = 
ここで
T = 目標値
K = Sigmaの乗数(デフォルトで3に設定)
s = Sigma値
i = 標本(またはサブグループ)の数
n = 各サブグループのサイズ(サブグループが指定されていない場合は1)
[一定の管理限界]オプションが選択されている場合、EWMAの管理限界は次式で計算されます。
下側管理限界(LCL) = 
上側管理限界(UCL) = 
ここで
T = 目標値
K = Sigmaの乗数(デフォルトで3に設定)
s = Sigma値
n = サブグループのサイズ(サブグループが指定されていない場合は1)
指数加重移動平均(EWMA)管理図の作成の詳細については、Montgomery(2013)を参照してください。