「二変量」プラットフォームの[直線のあてはめ]オプションは、残差平方和(誤差平方和)がなるべく小さくなるようなパラメータb0およびb1を推定することで、データ点に直線をあてはめます。なお、i番目の行に対して、直線のモデルはyi = b0 + b1xi + eiと表されます。
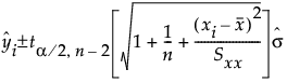
直線のあてはめにおける平均の信頼区間は、次のように定義されます。

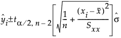
直線のあてはめにおける個々の応答値の信頼区間は、次のように定義されます。

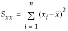
ここで、
は、i番目の観測(オブザベーション)であるxiにおける予測値
は、x変数の平均




tα/2,n は、n–2個の自由度を持つt分布の上側100a/2%点
nは、標本サイズ。
メモ: [平均の信頼限界の計算式]と[個別の信頼限界の計算式]オプションを使うと、モデルのあてはめの信頼限界の計算式をデータテーブルの新しい列に保存できます。計算式は行列形式で保存されます。