基本的な統計分析 > 二変量分析 > 「二変量」プラットフォームの統計的詳細 > [多項式のあてはめ]オプションの統計的詳細
公開日: 09/19/2023

[多項式のあてはめ]オプションの統計的詳細

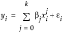
2次多項式は放物線、3次多項式は3次曲線です。次数をkとしたとき、i行目のモデルは、次式で表されます。

ここに式を表示

ここで、

ここに式を表示は、i番目の観測(オブザベーション)である xiにおける応答値

bjは、次数jでる項に対するパラメータ

kは、多項式の次数

eiは、モデルの誤差項

より詳細な情報が必要な場合や、質問があるときは、JMPユーザーコミュニティで答えを見つけましょう (community.jmp.com).