実験計画(DOE) > 標本サイズエクスプローラ > 信頼区間エクスプローラ > 「一標本Poisson平均の信頼区間エクスプローラ」の統計的詳細
公開日: 09/19/2023

「一標本Poisson平均の信頼区間エクスプローラ」の統計的詳細

一標本Poisson平均に対する信頼区間は、C2分布を使った正確検定に基づいて計算されます。両側信頼区間は、推定値を中心に対称ではありません。

両側信頼区間の幅は、次の式で求められます。

ここに式を表示

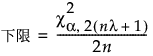
下片側信頼区間の下限値は、次の式で求められます。

ここに式を表示

上片側信頼区間の上限値は、次の式で求められます。

ここに式を表示

より詳細な情報が必要な場合や、質問があるときは、JMPユーザーコミュニティで答えを見つけましょう (community.jmp.com).