単純Bayes法のアルゴリズムの統計的詳細単純Bayes法は、特徴値に基づいて、所属する事後確率が最大となっているクラスに各データ行を分類します。単純Bayes法は、「ある1つのクラスで条件付けたときに、各特徴が独立である」と仮定しています。
分類(クラス)をC1, …, CKとします。また、特徴(説明変数)をX1, X2, …, Xpとします。
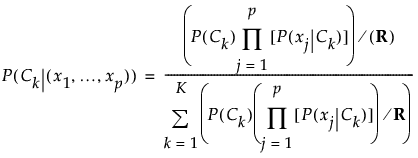
特徴値x1, x2, …, xp がCkクラスに属する条件付き確率は、次のように求められます。
,
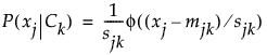
ここで、Rは、計算された値が小さくなりすぎることを防ぐための定数です。上記の計算式で、Xj = xjのデータ行がCk, P(xj|Ck)クラスに属する条件付き確率は、次のように定義されます。
• Xjがカテゴリカルの場合:

• Xjが連続尺度の場合:

ここで、fは標準正規分布の密度関数です。また、mとsは、それぞれ、クラスがCkであるデータ行の説明変数から計算された、平均と標準偏差です。
なお、あるデータ行がクラスCkに属する事前確率P(Ck)は、次のように計算されます。

クラスに分類するときには、条件付き確率(事後確率)が最も大きいクラスに分類されます。
メモ: P(Ck)の計算式において、0.5はバイアス定数です。0.5がデフォルト値になっています。このデフォルト値を変更したい場合には、[ファイル]>[環境設定]>[プラットフォーム]>[単純Bayes]と進んで[事前のバイアス]チェックボックスを選択し、数値を変更してください。