公開日: 09/19/2023

正規分位点プロットの統計的詳細

「一変量の分布」プラットフォームの正規分位点プロットでは、各値の経験累積確率が次のような式で計算されます。

ここに式を表示

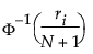
ここで、riはデータ値の順位、Nは非欠測値の個数を表します。

正規分位点の値は次のような式で計算されます。

ここに式を表示

ここで、Fは正規分布の累積確率分布関数です。

これらの正規分位点の値は、正規分布を仮定したときの順序統計量の期待値に対するVan der Waerdenの近似値です。

より詳細な情報が必要な場合や、質問があるときは、JMPユーザーコミュニティで答えを見つけましょう (community.jmp.com).