この節では、「工程能力分析」プラットフォームでサポートされている確率分布の確率密度関数fを紹介します。また、Johnson分布とSHASH分布を除くすべての分布の期待値と分散も紹介します。
,
,
, 
E(X) = m
Var(X) = s2
,
,
, 
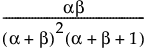
E(X) = 
Var(X) = 
この式で、B(·)はベータ関数です。
,
, 
E(X) = s
Var(X) = s2
,
,
, 
E(X) = as
Var(X) = as2
ここで、Γ(·)はガンマ関数です。
Johnson Su
,
,
, 
Johnson Sb
,
, 
Johnson Sl
,
, 
上式で、f(·)は標準正規分布の確率密度関数です。
,
,
, 
E(X) = 
Var(X) = 
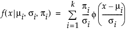
二重正規混合分布と三重正規混合分布は、いずれも次のような確率密度関数になっています。

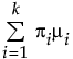
E(X) = 
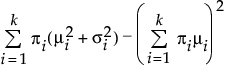
Var(X) = 
ここで、mi, si, piは、i番目のグループのそれぞれ平均・標準偏差・割合であり、f(·)は、標準正規分布の確率密度関数です。二重正規混合分布では、kは2です。三重正規混合分布では、kは3です。各正規分布の平均と標準偏差、および、全体に対する割合を推定します。
,
, 0 < d, 0 < s
ここで、
f(·)は標準正規分布の確率密度関数です。

メモ: g = 0、d = 1のSHASH分布は、位置、尺度がそれぞれq、sの正規分布と同じです。
,
, 
E(X) = 
Var(X) = 
ここで、G(·)はガンマ関数です。