品質と工程 > パレート図 > 「パレート図」プラットフォームの統計的詳細
公開日: 09/19/2023

「パレート図」プラットフォームの統計的詳細

この節では、「パレート図」プラットフォームで計算される尤度比カイ2乗検定統計量を説明します。次の表記法を使用しています。

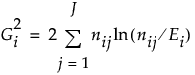
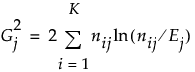
nijは、グループjにおける要因iの観測度数です。

Ejは、グループjにおける期待度数です。これは、原因全体にわたる、各グループの平均度数です。

Eiは、原因iの期待度数です。これは、原因全体にわたる、各原因の平均度数です。

グループ内の尤度比カイ2乗検定統計量

ここに式を表示

グループ全体における尤度比カイ2乗検定統計量

ここに式を表示

より詳細な情報が必要な場合や、質問があるときは、JMPユーザーコミュニティで答えを見つけましょう (community.jmp.com).