公開日: 09/19/2023

ここに画像を表示ランダム係数モデルの統計的詳細

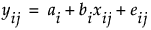
「モデルのあてはめ」プラットフォームの[混合モデル]手法の標準的なランダム係数モデルは、個体ごとの切片と傾きがランダムに分布しているモデルです。yijを、第i個体におけるj番目の測定値とします。単回帰のランダム係数モデルは次のようなモデルです。

ここに式を表示

ここで

ここに式を表示

ここに式を表示

ここに式を表示

ここに式を表示

および

ここに式を表示

上記のモデルは、下式のようにも表されます。JMPの「混合モデル」では、下式に基づいて、その固定効果と変量効果が推定されます。

ここに式を表示

ここで

ここに式を表示

ここに式を表示

および

ここに式を表示

Geijは、前述のように定義されます。

より詳細な情報が必要な場合や、質問があるときは、JMPユーザーコミュニティで答えを見つけましょう (community.jmp.com).