すべての「応答のスクリーニング」のプロットには、Benjamini and Hochberg(1995)で説明されている偽発見率に関して多重調整したp値が使われています。Westfall et al.(2011)も参照してください。このBenjamini-Hochberg法においては、p値が一様分布に従い、独立していると仮定しています。
Benjamini-Hochberg法で計算すると、FDRが水準a以内になります。この方法は、以下の手順で計算されます。
1. 対象のm仮説検定を行い、p値 (p1, p2,..., pm)を求めます。
2. p値を小さい順に並べます。小さい順に並べたp値をp(1) ≤ p(2) ≤ ... ≤ p(m)と表記します。
3. p(i) ≤ (i/m)aとなっている続きのなかで最大のp値を抜き出します。この条件を満たす最大のp値が、k番目に大きいp(k)であったとします。
4. p値がp(k)以下となっているk個の仮説をすべて棄却します。
こうすれば、FDRがaを上回りません。
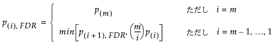
FDR調整したp値であるp(i), FDRは、次式で計算されます。

このFDR調整したp値がaを下回る場合、その仮説は棄却されます。