この節では、「二変量」プラットフォームの[ロバストなあてはめ]と[Cauchyのあてはめ]の各オプションについて詳しく解説します。
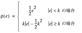
「二変量」プラットフォームの[ロバストなあてはめ]オプションは、応答変数の外れ値がモデルのあてはめに与える影響を少なくします。HuberのM推定が使用されます。HuberのM推定では、次式によって定義されているHuberの損失関数を最小にするパラメータ推定値を求めます。

この式で、

eiは残差を表します
Huberの損失関数は、誤差が小さい場合は2次曲線として増加し、誤差が大きい場合は線形に増加します。JMPのアルゴリズムでは、k = 2としています。ロバストなあてはめの詳細については、Huber(1973)およびHuber and Ronchetti(2009)を参照してください。
「二変量」プラットフォームの[Cauchyのあてはめ]オプションは、最尤推定によってパラメータ推定値を算出します。このオプションでは、誤差がCauchy分布に従うと仮定されます。Cauchy分布は正規分布よりも裾が広く、その結果、外れ値が推定に与える影響が小さくなります。