この節の計算式では、次の記号を用います。
• mは、母集団の平均を表します。工程平均や工程水準(process level)とも呼ばれます。
• m0は、母集団の平均に対する目標値を表します。m0を
という記号で表すこともあります。American Society for Quality Statistics Division(2004)を参照してください。起動ウィンドウの「CUSUM(累積和)管理図で使用する既知の統計量」領域の「目標値」でm0を指定できます。
• sは、母集団の標準偏差を表します。
は、sの推定値を表します。
• s0は、既知の標準偏差を表します。起動ウィンドウの「CUSUM(累積和)管理図で使用する既知の統計量」領域の「Sigma」でs0を指定できます。
• nは、CUSUM管理図における各サブグループの標本サイズを表します。
• dは、検出するmのシフトを表し、標準偏差の乗数として表したものです。起動ウィンドウの「CUSUM(累積和)管理図で使用する既知の統計量」領域の「δ」において、このdを指定できます。
• Dは、検出したいmのシフトを、データ単位で表したものです。標本サイズnがサブグループ間で一定の場合は、次式が成り立ちます。

起動ウィンドウの「CUSUM(累積和)管理図で使用する既知の統計量」領域の「シフト」でDを指定できます。
メモ: DはDと表記される場合もあります。
正のシフトdを検出する片側CUSUM管理図では、次式に基づき、t番目のサブグループの累積和を計算します。
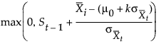
St = max(0, St - 1+ (zt - k))
(t = 1, 2,..., nの場合)。S0 = 0です。また、ztは両側CUSUM管理図の時と同じように定義され、パラメータk(参照値)は正の値です。パラメータkを起動ウィンドウで指定しなかった場合、kはd/2に設定されます。このStは、上側累積和といいます。Stは、次のようにも表せます。

このため、数列Stは、m0から標準偏差のk倍よりも大きいサブグループの偏差を累積します。Stが正の値h(決定限界)を超えると、工程にシフトが生じたか、工程が管理外であると判断できます。
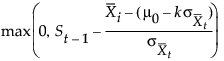
負のシフトを検出する片側CUSUM管理図では、次式に基づき、t番目のサブグループの累積和を計算します。
St = max(0, St - 1 - (zt + k))
(t = 1, 2,..., nの場合)。S0 = 0です。また、ztは両側CUSUM管理図の時と同じように定義され、パラメータk(参照値)は正の値です。パラメータkを起動ウィンドウで指定しなかった場合、kはd/2に設定されます。このStは、下側累積和といいます。Stは、次のようにも表せます。

このため、数列Stは、m平均値平均値0から標準誤差のk倍よりも小さいサブグループの偏差の絶対値を累積します。Stが正の値h(決定限界)を超えると、工程にシフトが生じたか、工程が管理外であると判断できます。
Stとhはともに、dが正であるか負であるかに関係なく、常に正の値です。一部の統計学者が定義した負のシフトを検出するための管理図では、Stが負の決定限界を下回った場合にシフトが発生したことを表します。
Lucas and Crosier(1982)は、高速初期応答(FIR; Fast Initial Response)について述べています。そこでは、累積和の初期値S0に開始値を設定することが述べられています。平均連長の計算を見ると、工程が管理された状態にあるときはFIRを使用してもほとんど効果がありませんが、その初期段階で管理外の状態になっている場合には、標準のCUSUM管理図よりも早く検出することができます。起動ウィンドウの「CUSUM(累積和)管理図で使用する既知の統計量」領域の「開始値」で開始値を指定できます。
サブグループの標本サイズが一定(= n)の場合は、累積和がデータと同じ単位でスケールされている方が解釈しやすい場合があります。δ > 0の場合には、データと同じ単位でスケールされている累積和は、次のように計算されます。

d > 0の場合、式は次のようになります。

d < 0の場合、式は次のようになります。どちらの場合も、パラメータkのスケールが
に変更されます。パラメータkを起動ウィンドウで指定しなかった場合、kはd/2に設定されます。Stが
を超えた場合、シフトが生じたことを意味します。h'は、Hと表記される場合もあります。
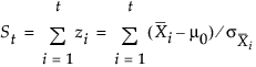
両側CUSUM管理図の場合は、t番目のサブグループの累積和Stが次のように定義されます。
St = St - 1 +zt
(t = 1, 2,..., nの場合)。ここで、S0 = 0であり、ztの項は次のように計算します。

ここで、
はt番目のサブグループの平均を示し、ntはt番目のサブグループの標本サイズを示します。サブグループの標本が個々の測定値xtから成る場合は、ztの項は次のように単純化されます。
zt = (xt – m0)/s
最初の式は、次のように書き換えられます。

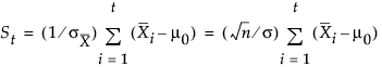
数列Stは、目標平均m0からのサブグループ平均の偏差を標準化したものを累積します。
実際の場面ではサブグループの標本サイズniは等しいこと(ni = n)が多いですが、その場合、Stの式は次のように単純化できます。

また、用途によっては、Stを次のように計算する方が解釈しやすい場合があります。

この累積和は、データと同じ単位でスケールされます。この場合、Vマスクのパラメータhとkは、それぞれ
と
にスケールが変更されます。k'はFと、h'はHと表記される場合もあります。
工程が管理された状態にあり、平均mが目標値m0であるか、それに近い値である場合、累積和はランダムウォーク(酔歩)に従います。ランダムウォークに従っている場合、点はゼロから離れることはありますが、m0からの正と負のずれが相殺されるため、傾きが現れることはありません。mが正の方向にシフトすると上向きの傾きが現れ、mが負の方向にシフトすると下向きの傾きが現れます。