管理図ビルダーでは、XBar-R管理図の管理限界は次の計算式で生成されます。
XBar管理図の下側管理限界(LCL) = 
XBar管理図の上側管理限界(UCL) = 
R管理図の下側管理限界(LCL) = 
R管理図の上側管理限界(UCL) = 
R管理図の中心線: 第iサブグループの中心線は、デフォルトではRiの期待値の推定値を示し、
で計算されます。この式で、
はsの推定値です。
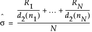
XBar-R管理図の標準偏差は、次の計算式で推定されます。

ここで
= サブグループ平均の重み付き平均
K = シグマの乗数(デフォルトで3に設定)
s = 工程の標準偏差
ni = i番目のサブグループの標本サイズ
d2(n)は、母標準偏差が1であるn個の独立した正規分布に従う確率変数の範囲の期待値
d3(n)は、母標準偏差が1であるn個の独立した正規分布に従う確率変数の範囲の標準偏差
Riは、i番目のサブグループの範囲
Nは、ni ≥ 2であるサブグループの数