「非線形回帰」プラットフォームを使用する際には、多項式の中心化を強くお勧めします。
パラメータに関して線形であるような多項式が非線形モデルのなかにある場合は、必ずその多項式を中心化するようにしてください。これにより、最適化における数値的な状態が改善されます。たとえば、

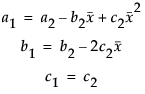
という式は、次のように変換してください。

2つの式は、パラメータが変換されている点を除いて等価ですが、非線形なモデルで使われていた場合、2つ目の式を用いたもののほうが、ずっと簡単にあてはめることができます。
次に示すように、パラメータを変換する式は簡単です。

それでも反復回数が最大数に達してしまう場合は、最大反復回数を増やすか、収束基準のいずれかを緩めてください。
すべての問題に対応できる万能な最適化手法というのは存在しません。JMPの「非線形回帰」プラットフォームには、[Newton]、[準Newton BFGS]、[準Newton SR1]、[数値微分のみ]といったオプションが用意されているため、広範な問題を解決することができます。
デフォルトの設定では解が収束しなかった場合でも、他のいろいろな設定を試してみることにより、収束の可能性は高まります。
モデルの中には、パラメータの初期値に対して非常に敏感なものがあります。そのため、初期値を変えてみると効果があるかも知れません。初期値を編集し、[リセット]をクリックして結果を見てみましょう。プロットが役に立つこともよくあります。スライダを動かして曲線のあてはまりを改善してみましょう。パラメータプロファイルが役に立つこともありますが、データセットが大きい場合には計算に時間がかかるかもしれません。