実験計画の交絡行列(alias matrix)は、「交絡項」セクションで指定した効果が、パラメータ推定値のバイアス(偏り)に与える大きさを示したものです。この交絡行列は、交絡最適化計画の計算でも使用されています。交絡最適化基準を参照してください。
交絡行列は、計画行列(デザイン行列)を用いて求められます。モデル行列を参照してください。
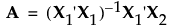
X1を「モデル」セクションの項に対応する計画行列とします。X2を「交絡項」セクションの項に対応する計画行列とします。
次のようなモデルを仮定するとします。

一方、真のモデルでは交絡項が効果をもっていて、次のように表されるとしましょう。

仮定したモデルに基づく最小2乗法によるβ1の推定値は、次のとおりです。

回帰分析における通常の前提が成立している場合、
の期待値は、次のようになります。

この式で、
です。
この行列Aを交絡行列(alias matrix)といいます。