「時系列の基本診断」レポートに表示される情報は、「時系列」の赤い三角ボタンのメニューでどのオプションを選択するかによって異なります。このメニューの中で「時系列の基本診断」レポートに情報を表示するオプションは、[自己相関]・[偏自己相関]・[バリオグラム]・[AR係数]です。デフォルトでは、自己相関と偏自己相関が表示されます。
[自己相関]オプションを選択すると、「時系列の基本診断」レポートに以下の列が表示されます。
ラグ
点間の期数。
メモ: ラグの数は、デフォルトで0から始まります。相関の計算をラグ1から始める場合は、グラフの作成前に、JMPの環境設定を変更してください。[ファイル]>[環境設定]>[プラットフォーム]>[時系列分析]を選択し、[自己相関プロットでラグ0を非表示]チェックボックスをオンにします。
自己相関
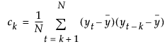
第kラグの自己相関は、次式で計算されます。
この式で、
は欠測していないN個の点の平均です。定義上、1番上の自己相関(ラグ0の自己相関)は、常に1になります。
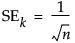
棒グラフの棒の長さは、自己相関を表しています。青色の曲線は、おおよその95%信頼区間を表し、次の式で計算される標準誤差の大まかな近似を2倍(±2標準誤差)したものです。

Ljung-Box Q
先頭からそのラグまでの複数の自己相関のうち、少なくとも1つが0と有意に異なることを検定する統計量です。この検定が有意であれば、その時系列はホワイトノイズではないと判断できます。なお、これらのグラフや検定は、元の時系列データだけでなく、モデルの残差を診断するときにも使えます。Qは検定統計量です。
p値
Ljung-Box検定のp値。
[偏自己相関]オプションを選択すると、「時系列の基本診断」プロットに以下の列が表示されます。
ラグ
点間の期数。
偏自己相関
第kラグの偏自己相関。
棒グラフの棒の長さは、偏自己相関を表しています。2本の青い線は95%予測区間の大まかな近似を示しています。これは、次の式で計算される標準誤差の大まかな近似を2倍したもの(±2標準誤差)です。
(すべての kに対して)
[バリオグラム]オプションを選択すると、「時系列の基本診断」レポートに以下の列が表示されます。
ラグ
点間の期数。
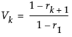
バリオグラム
バリオグラムでは、k個のラグだけ離れた点との間に見られる差の分散が、1つのラグだけ離れた点との差の分散と比較されます。バリオグラムは、次の計算式を使って自己相関から計算されます。

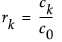
ここで、rkはラグkにおける自己相関を表します。
[AR係数]オプションを選択すると、「時系列の基本診断」レポートに以下の列が表示されます。
ラグ
点間の期数。
AR係数
ここで算出される値は、自己回帰係数だけからなる、高次の自己回帰モデルをあてはめたときに得られる推定値を近似したものです。