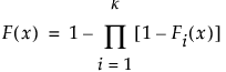
故障原因が競合している状況では、全体の累積分布関数は次のように表されます。

ここで、Fi(x)はi番目の故障原因に対する累積分布関数で、kは故障原因の総数です。関数Fi(x)は、故障原因ごとに個別に仮定されています。各関数は、i番目の故障原因による故障確率だけを考慮しており、それ以外の原因による故障を考慮していません。
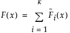
全体の累積分布関数は、次のようにも表すこともできます。

ここで、各
は、値域が[0, 1]である単調増加関数です。関数
は、部分分布(subdistribution)と呼ばれています。部分分布によって表された累積分布関数は、当該の故障原因以外による故障も一緒に考慮しています。そのため、部分分布は、各原因による故障の割合を予測するのに使えます。