予測プロファイルを使って、応答を目標値に合わせながら、分散を最小化するような因子の設定を特定してみましょう。モデルをあてはめてから、プロファイルを使って、平均を目標値に合わせると同時に分散を最小化します。
1. [ヘルプ]>[サンプルデータフォルダ]を選択し、「InjectionMolding.jmp」を開きます。
2. [分析]>[モデルのあてはめ]を選択します。
データテーブル内の変数にはあらかじめ選択された役割が割り当てられているため、分析は自動的に実行されます。
3. 「対数線形分散によるあてはめ」の赤い三角ボタンをクリックし、[プロファイル]>[プロファイル]を選択します。
4. 「予測プロファイル」の赤い三角ボタンをクリックし、[最適化と満足度]>[満足度の設定]を選択します。
5. 「応答目標」ウィンドウが開いたら、[最大化]を[目標値に合わせる]に変更します。
6. [OK]をクリックします。
7. 2つ目の「応答目標」ウィンドウで[OK]をクリックします。
8. 「予測プロファイル」の赤い三角ボタンをクリックし、[最適化と満足度]>[満足度の最大化]を選択します。
9. 「予測プロファイル」の赤い三角ボタンをクリックし、[予測区間]を選択します。
メモ: この最適化の計算においては、初期値が乱数によって決められているので、実際の結果は異なるかもしれません。
図11.7 目標値に合わせ、分散を最小化するためのプロファイルと予測区間
平均と分散の関係を効果的に調べるには、対数分散モデルをあてはめた後、個々の値に対する予測区間を見ます。通常の信頼区間(デフォルトでプロファイルに表示されている信頼区間)は、分散モデルや個々の値に対する信頼区間についての情報を含んでいません。予測区間は、平均モデルと分散モデルを考慮した区間を、1 つのグラフ上に表示します。
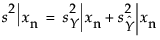
xnにおける応答Yの予測区間を計算する式は次のようになります。

ここで
は、xnにおける個々の予測値がもつ分散
は、xnにおける応答値Yがもつ分散
は、xnにおける予測値
がもつ分散(平均の分散)
個々の予測値がもつ分散には、応答値Yの分散も含まれており、Yの分散がどのように変化するかも見ることができます。個々の予測値に対する信頼区間は、平均に対する信頼区間よりも幅が広いだけでなく、分散に対する効果によって形状が変化します。