元のテーブルの数値列から計算した要約統計量の列を追加するには、[統計量]ボタンをクリックして、メニューからオプションを選びます。
[統計量]メニューでは、数値列に関する次の要約統計量を選択できます。
N
欠測値以外の値の数です。
平均
列の値の算術平均です。つまり、欠測値以外の値の合計を重みの合計で割った値です(定義されている場合は、重み変数を掛けます)。
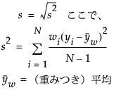
標準偏差
欠測値以外の値について、重み変数が指定された場合はそれを使って計算される標本の標準偏差です。つまり、分散の平方根です。計算式は次のとおりです。

最小値
欠測値を除く、列内の最小値です。
最大値
欠測値を除く、列内の最大値です。
範囲
最大値と最小値の差です。
全体に対する%
全体の度数に対する、各グループの度数の割合(パーセント)です。または、そうなるように指定した場合は、指定された列の欠測値以外の値から計算される、全体に対する各グループの合計の割合となります。
欠測値N
欠測値の数です。
カテゴリ数
異なるカテゴリの数です。
合計
列内のすべての値の合計です。
重みの合計
列内のすべての重みの合計です。(JMPの列プロパティを参照)。[重み]に割り当てられた列がない場合、[重みの合計]は欠測値以外の値の個数になります。
分散
欠測値以外の値について計算される分散(不偏分散)です。つまり、平均からの偏差の2乗の合計を、欠測値以外の値の個数から1を引いた数で割った値です。
標準誤差
平均の標準誤差です。つまり、標準偏差をNの平方根で割った値です。列に「重み」役割が割り当てられている場合、分母には重みの和の平方根が使われます。
変動係数
ばらつきの度合いを示す指標で、標準偏差を平均で割り、100を掛けて求められます。
中央値(メディアン)
50%のパーセント点です。下半分のデータが中央値より小さく、上半分のデータが中央値より大きくなっています。
中央絶対偏差
データの中央値からの偏差の絶対値の中央値。
幾何平均
データの積のn乗根。利子の計算などによく使われます。データに特に大きな値が含まれていて分布が歪んでいる場合などに、便利です。
メモ: データに負の値がある場合、幾何平均は欠測値になります。また、データに0の値がある場合(かつ負の値がない場合)は0になります。
四分位範囲
第3四分位数と第1四分位数の差です。
分位点
指定した分位点を求めます。たとえば、75%の分位点を求めた場合、データの75%がその分位点より小さくなっています。「要約」ウィンドウには、分位点の百分率を入力する編集ボックスがあります。
ヒストグラム
グループごとに、ヒストグラムを生成します。ヒストグラムの画像がデータテーブルの式列に保存されます。