固定効果のパラメータ推定値[混合モデル]手法の「固定効果のパラメータ推定値」レポートには、モデルに指定した固定効果の各パラメータについて、次のような詳細が表示されます。このレポートには、指示変数コーディングおよび効果コーディングにおけるパラメータ推定値が別々のパネルに表示されます。各パネルには、それぞれのコーディングに対応する負の対数尤度を2倍した値も表示されます。指示変数コーディングのパラメータ推定値は、名義尺度の説明変数に対して、SASシステムのGLMプロシジャで採用されているコード変換を採用して計算されたものです。なお、順序尺度の列に対しては、JMPの通常のコード変換によって計算されています。SASのGLMプロシジャとJMPの相違点に関しては、因子(説明変数)の取り扱い方を参照してください。
注意: 「指示変数コーディング」パネルの標準誤差やt値などの値は、「効果コーディング」パネルのそれらの値とは異なります。これは、推定値の計算において、異なるコード変換が使われているためです。
「固定効果のパラメータ推定値」レポートには、次のような列があります。
項
パラメータ推定値に対応するモデル項。「モデルのあてはめ」起動ウィンドウで[切片なし]オプションを選択した場合を除いて、最初の項は常に切片です。2次以上の項においては、連続尺度の列はデフォルトで中心化されます。名義尺度や順序尺度の効果では、列名のあとに、括弧で囲んだ水準値が表示されます。名義尺度と順序尺度の項のコード変換については、因子(説明変数)の取り扱い方を参照してください。
メモ: 「モデルの指定」の赤い三角ボタンのメニューから[多項式の中心化]を選択した場合でも、変量効果に含まれている連続尺度の列は中心化されません。
推定値
各項のパラメータ推定値。これは、モデルにある各項に対する係数の推定値です。
標準誤差
パラメータ推定値の標準誤差。
分母自由度
分母自由度は、効果の検定における分母に相当する部分の自由度です。分母自由度は、Kenward‐
Rogerの1次近似を使って計算されます。Kackar-Harville修正の統計的詳細を参照してください。
t値
「真のパラメータ値は0である」という帰無仮説を検定します。t値は、標準誤差に対する推定値の比で、モデルに関するいくつかの仮定が満たされ、帰無仮説が成り立つときは、Studentのt分布に従います。
p値(Prob>|t|)
t値に基づく両側検定のp値。
95%下側
パラメータの両側95%信頼区間の下限。信頼水準(a)を変更するには、「モデルの指定」の赤い三角ボタンのメニューから[有意水準の設定]を選択します。
95%上側
パラメータの両側95%信頼区間の上限。信頼水準(a)を変更するには、「モデルの指定」の赤い三角ボタンのメニューから[有意水準の設定]を選択します。
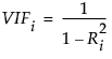
VIF
(「効果コーディング」パネルにのみ表示されます。)各項の分散拡大係数(VIF; Variance Inflation Factor)。この値が大きい場合、各項間に共線性があると考えられます。
i番目の項xiに対するVIFは、次式によって表されます。

この式において、Ri 2はxiを応答変数とし、その他の変数を説明変数として回帰分析したときの決定係数(R2乗)です。この列は、レポートを右クリックし、[列]>[VIF]を選択した場合のみ表示されます。
コード化していない推定値
「コード変換」列プロパティの定義に基づく、各項の元のスケールにおけるパラメータ推定値。このオプションは、「コード変換」列プロパティが設定されている効果の列が1つ以上あり、特定の条件が満たされるときにのみ使用できます。コード変換を適用しないを参照してください。