「一標本平均の信頼区間」では、1標本平均の信頼区間、予測区間、許容区間を求めるための標本サイズを特定します。「一標本平均の信頼区間エクスプローラ」を起動するには、[実験計画(DOE)]>[標本サイズエクスプローラ]>[信頼区間]>[一標本平均の信頼区間]を選択します。ばらつき・標本サイズ・有意水準・信頼区間の幅におけるトレードオフの関係を調べることができます。
ラジオボタン・テキストボックス・メニューによって、実験や調査の仮定(仮説検定に用いる前提)を設定します。それらの設定を変更すると、プロファイルが更新されます。プロファイル上で十字をドラッグすることでも、設定を変更できます。
区間の種類
片側
片側の信頼区間(上側または下側)を指定します。
両側
両側区間を指定します。
区間の目的
信頼区間
母平均に対する信頼区間。母平均が含まれる区間
予測区間
1個の観測値に対する予測区間。将来の1個の観測値が含まれる区間。
許容区間
観測値に対する許容区間。母集団全体のうち、特定の割合の観測値が含まれる区間。
設定
信頼水準
有意水準を指定します。信頼水準は、この有意水準を1から引いた値(1-α)です。デフォルトは、95%信頼区間(有意水準は0.05)です。
割合
(「区間の目的」で[許容区間]を選択した場合のみ、表示されます。)母集団全体のうち、許容区間に含まれる観測値の割合を指定します。
母標準偏差
区間推定おいて、母標準偏差を既知とした区間推定を用いるか、母標準偏差を未知とした区間推定を用いるかを指定します。
Yes
このオプションを選択すると、母標準偏差を既知とした信頼区間の標本サイズが計算されます。この場合、計算にはz分布(標準正規分布)が使用されます。
No
このオプションを選択すると、母標準偏差を未知とした信頼区間の標本サイズが計算されます。この場合、計算にはt分布が使用されます。
プロファイルは、標本サイズが信頼区間の計算にどのような影響を与えるかを示します。
解を求めたい対象:
ここでは何を求めたいかを指定します。標本サイズまたは母標準偏差のいずれかを選択してください。
点推定値までの距離
両側信頼区間の場合、信頼区間の幅(信頼区間の上限-下限)の半分です。この長さは、「誤差範囲」(margin of error)と呼ばれることもあります。その他の設定が同じである場合、標本サイズが大きくなるほど、信頼区間の幅は狭くなります。
標本サイズ
信頼区間をある程度の幅にするのに必要な標本サイズ(実験回数・実験ユニット数・試料の個数・観測数)。
標準偏差(s)
母標準偏差を指定します。
「エクスプローラ」の赤い三角ボタンのメニューとレポートのボタンを使って、以下のオプションが使用できます。
シミュレーションデータ
データテーブルが開き、エクスプローラでの設定に基づいてシミュレートしたデータが表示されます。応答列の計算式は、乱数を生成するための計算式となっており、指定された設定に対応したものになっています。
収集用データテーブルの作成
データの収集に使える新しいデータテーブルが作成されます。データテーブルには、データを分析するためのスクリプトも含まれています。
設定の保存
現在の設定が「設定の保存」の表に保存されます。複数の異なる計画を保存して、比較することができます。「標本サイズエクスプローラの「設定の保存」」を参照してください。
デフォルトに戻す
すべてのパラメータとグラフをデフォルトの設定にリセットします。
ヘルプ
JMPのオンラインヘルプを開きます。
どの種類の区間も、sが既知の場合は標準正規分布、未知の場合はt分布または近似を使って計算されます。
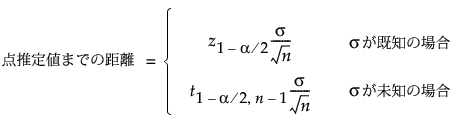
両側信頼区間の「点推定値までの距離」は、次のように計算されます。

片側信頼区間の「点推定値までの距離」は、次のように計算されます。

ここで
aは、有意水準。
z1-αは、正規分布の(1 - a)分位点。
t1-α,ν,は、自由度nのt分布の(1 - a)分位点。
sは、母標準偏差。
nは、標本数。
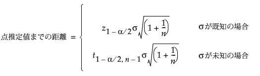
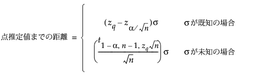
両側予測区間の「点推定値までの距離」は、次のように計算されます。

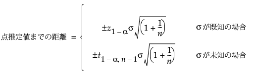
片側許容区間の「点推定値までの距離」は、次のように計算されます。

ここで
aは、有意水準。
z1-αは、正規分布の(1 - a)分位点。
t1-α,ν,は、自由度nのt分布の(1 - a)分位点。
sは、母標準偏差。
nは、標本数。
母標準偏差が既知の場合、「点推定値までの距離」は、Krishnamoorthy and Mathew(2009)で説明されている近似法を使って計算されます。母標準偏差が未知の場合、両側区間はHoweの近似による修正を使って計算されます。
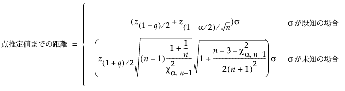
割合qの観測値を含む両側許容区間の場合、許容区間の「点推定値までの距離」は、次のように計算されます。

割合qだけの観測値を含む片側許容区間の場合、許容区間の「点推定値までの距離」は、次のように計算されます。

ここで
aは、有意水準。
zαは、正規分布のa分位点。
c2α,ν は、自由度nのc2 分布のa分位点。
t1-α,ν,は、自由度nのt分布の(1 - a)分位点。
sは、母標準偏差。
nは、標本サイズ。