「一標本割合の信頼区間エクスプローラ」では、一標本割合に対する信頼区間をある程度の幅にするのに必要な標本サイズを計算できます。「一標本割合の信頼区間エクスプローラ」を起動するには、[実験計画(DOE)] >[標本サイズエクスプローラ]>[信頼区間]>[一標本割合の信頼区間]を選択します。割合・標本サイズ・有意水準・信頼区間の幅におけるトレードオフの関係を調べることができます。スコア信頼区間の近似であるAgresti-Coull法の信頼区間をもとに計算は行われます。スコア信頼区間は、点推定値を中心に上下の限界値で対称ではありません。
注意: 特定の下側信頼限界または上側信頼限界を達成できるような計画の標本サイズを求めたい場合は注意が必要です。「点推定値までの距離」は、実際には、信頼区間の幅の半分になっています。スコア信頼区間は、点推定値を中心に上下の限界値で対称ではありません。帰無仮説の割合が0.5の場合に、点推定値を中心に「点推定値までの距離」をプラスマイナスしたものが、信頼区間の上側・下側限界になっています。しかし、帰無仮説の割合が0.5から離れるにつれ、点推定値に「点推定値までの距離」をプラスマイナスした値は、実際のスコア信頼区間の上側・下側限界値とは違ってきます。
ラジオボタン・テキストボックス・メニューによって、実験や調査の仮定(仮説検定に用いる前提)を設定します。それらの設定を変更すると、プロファイルが更新されます。プロファイル上で十字をドラッグすることでも、設定を変更できます。
区間の種類
片側
片側信頼区間(上片側または下片側)を指定します。
両側
両側の信頼区間を指定します。
設定
信頼水準
信頼水準(1-α)を指定します。デフォルトは、95%信頼区間(有意水準は0.05)です。
プロファイルは、標本サイズが信頼区間の計算にどのような影響を与えるかを示します。
解を求めたい対象:
ここでは何を求めたいかを指定します。標本サイズまたは母割合のいずれかを選択してください。
点推定値までの距離
両側信頼区間の場合、信頼区間の幅(信頼区間の上限-下限)の半分です。この長さは、「誤差範囲」(margin of error)と呼ばれることもあります。その他の設定が同じである場合、標本サイズが大きくなるほど、信頼区間の幅は狭くなります。
メモ: スコア信頼区間は、点推定値を中心に上下の限界値で対称ではありません。そのため、「点推定値までの距離」は上下で異なります。
標本サイズ
信頼区間をある程度の幅にするのに必要な標本サイズ(実験回数・実験ユニット数・試料の個数・観測数)。
割合
真の母割合(対立仮説での母割合)。
「エクスプローラ」の赤い三角ボタンのメニューとレポートのボタンを使って、以下のオプションが使用できます。
シミュレーションデータ
データテーブルが開き、エクスプローラでの設定に基づいてシミュレートしたデータが表示されます。応答列の計算式は、乱数を生成するための計算式となっており、指定された設定に対応したものになっています。
収集用データテーブルの作成
データの収集に使える新しいデータテーブルが作成されます。データテーブルには、データを分析するためのスクリプトも含まれています。
設定の保存
現在の設定が「設定の保存」の表に保存されます。複数の異なる計画を保存して、比較することができます。「標本サイズエクスプローラの「設定の保存」」を参照してください。
デフォルトに戻す
すべてのパラメータとグラフをデフォルトの設定にリセットします。
ヘルプ
JMPのオンラインヘルプを開きます。
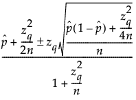
母割合に対する信頼区間は、スコア信頼区間に基づいて計算されます。Agresti and Coull(1998)を参照してください。両側スコア信頼区間の計算式は次のとおりです。

この式で、zqは、標準正規分布のq分位点です。両側信頼区間の場合は、q = 1 - a/2、片側信頼区間の場合は、q = 1 - a です。
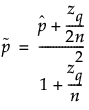
スコア信頼区間は、割合の点推定値を中心に上下で対称ではなく、

と0.5の重み付き平均を中心に対称になっています。