「一標本分散の信頼区間エクスプローラ」では、一標本分散に対する信頼区間をある程度の幅にするのに必要な標本サイズを計算できます。「一標本分散の信頼区間エクスプローラ」を計算するには、[実験計画(DOE)] >[標本サイズエクスプローラ]>[信頼区間]>[一標本分散の信頼区間]を選択します。標本サイズ・有意水準・信頼区間の幅におけるトレードオフの関係を調べることができます。
ラジオボタン・テキストボックス・メニューによって、実験や調査の仮定(仮説検定に用いる前提)を設定します。それらの設定を変更すると、プロファイルが更新されます。プロファイル上で十字をドラッグすることでも、設定を変更できます。
信頼区間の種類
下側の片側区間
下片側区間を指定します。
上側の片側区間
上片側区間を指定します。
両側区間
両側区間を指定します。
設定
信頼水準
信頼水準(1-α)を指定します。デフォルトは、95%信頼区間(有意水準は0.05)です。
プロファイルは、標本サイズが信頼区間の計算にどのような影響を与えるかを示します。
解を求めたい対象:
ここでは何を求めたいかを指定します。標本サイズしか選択できません。
限界値
(「信頼区間の種類」を[下側の片側区間]または[上側の片側区間]に設定した場合のみ使用できます。)分散に対する下片側信頼区間の下限値、または、上片側信頼区間の上限値を指定します。
信頼区間の幅
(「信頼区間の種類」を[両側区間]に設定した場合のみ使用できます。)両側信頼区間の場合、信頼区間の幅全体(上限-下限)を表します。他の設定が同じである場合、標本サイズが増えると、区間の幅は狭くなります。
標本サイズ
信頼区間をある程度の幅にするのに必要な標本サイズ(実験回数・実験ユニット数・試料の個数・観測数)。
「エクスプローラ」の赤い三角ボタンのメニューとレポートのボタンを使って、以下のオプションが使用できます。
シミュレーションデータ
データテーブルが開き、エクスプローラでの設定に基づいてシミュレートしたデータが表示されます。応答列の計算式は、乱数を生成するための計算式となっており、指定された設定に対応したものになっています。
収集用データテーブルの作成
データの収集に使える新しいデータテーブルが作成されます。データテーブルには、データを分析するためのスクリプトも含まれています。
設定の保存
現在の設定が「設定の保存」の表に保存されます。複数の異なる計画を保存して、比較することができます。「標本サイズエクスプローラの「設定の保存」」を参照してください。
デフォルトに戻す
すべてのパラメータとグラフをデフォルトの設定にリセットします。
ヘルプ
JMPのオンラインヘルプを開きます。
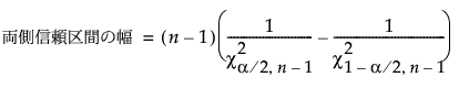
母分散に対する信頼区間は、C2分布に基づいて計算されます。両側信頼区間は、推定値を中心に対称ではありません。
両側信頼区間の幅は、次の式で求められます。

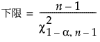
下片側信頼区間の下限値は、次の式で求められます。

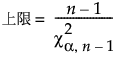
上片側信頼区間の上限値は、次の式で求められます。

ここで
c2α,ν は、自由度nのc2 分布のa分位点。
nは、標本サイズ。