「独立二標本平均の信頼区間」では、信頼区間をある程度の幅にするのに必要な標本サイズを計算できます。「独立二標本平均の信頼区間エクスプローラ」を起動するには、[実験計画(DOE)]>[標本サイズエクスプローラ]>[信頼区間]>[独立二標本平均の信頼区間]を選択します。標本サイズ・有意水準・信頼区間の幅におけるトレードオフの関係を調べることができます。
ラジオボタン・テキストボックス・メニューによって、実験や調査の仮定(仮説検定に用いる前提)を設定します。それらの設定を変更すると、プロファイルが更新されます。プロファイル上で十字をドラッグすることでも、設定を変更できます。
区間の種類
片側
片側の信頼区間(上側または下側)を指定します。
両側
両側の信頼区間を指定します。
設定
信頼水準
信頼水準(1-α)を指定します。デフォルトは、95%信頼区間(有意水準は0.05)です。
母標準偏差
区間推定おいて、母標準偏差を既知とした区間推定を用いるか、母標準偏差を未知とした区間推定を用いるかを指定します。
Yes
このオプションを選択すると、母標準偏差を既知とした区間推定の標本サイズが計算されます。この場合、計算にはz分布(標準正規分布)が使われます。
No
このオプションを選択すると、母標準偏差を未知とした検定の標本サイズや検出力が計算されます。この場合、計算にはt分布が使われます。
プロファイルは、標本サイズが信頼区間の計算にどのような影響を与えるかを示します。
全体の標本サイズ
実験に必要な全体の標本サイズ(実験回数・実験ユニット数・試料の個数・観測数など)。「点推定値までの距離」の曲線は、全体の標本サイズに基づきます。全体の標本サイズを固定するには、[ロック]を選択します。
解を求めたい対象:
ここでは何を求めたいかを指定します。標本サイズまたは母標準偏差のいずれかを選択してください。
点推定値までの距離
両側信頼区間の場合、信頼区間の幅(信頼区間の上限-下限)の半分です。この長さは、「誤差範囲」(margin of error)と呼ばれることもあります。その他の設定が同じである場合、標本サイズが大きくなるほど、信頼区間の幅は狭くなります。
群1の標本サイズ
実験や調査において群1で必要な標本サイズ(実験回数・実験ユニット数・試料の個数・観測数など)。群1の標本サイズをロックするには、[ロック]を選択します。
群2の標本サイズ
実験において群2で必要な標本サイズ(実験回数・実験ユニット数・試料の個数・観測数など)。群2の標本サイズをロックするには、[ロック]を選択します。
群1の標準偏差(s1)
群1の母標準偏差(群1に対して想定される母標準偏偏差)。
群2の標準偏差(s2)
群2の母標準偏差(群2に対して想定される母標準偏偏差)。
メモ: 全体の標本サイズがロックされていない限り、一方の群の標本サイズを変更すると全体の標本サイズも変化します。全体の標本サイズがロックされている場合、一方の群の標本サイズを変更すると他方の群の標本サイズも変化します。
「エクスプローラ」の赤い三角ボタンのメニューとレポートのボタンを使って、以下のオプションが使用できます。
シミュレーションデータ
データテーブルが開き、エクスプローラでの設定に基づいてシミュレートしたデータが表示されます。応答列の計算式は、乱数を生成するための計算式となっており、指定された設定に対応したものになっています。
収集用データテーブルの作成
データの収集に使える新しいデータテーブルが作成されます。データテーブルには、データを分析するためのスクリプトも含まれています。
設定の保存
現在の設定が「設定の保存」の表に保存されます。複数の異なる計画を保存して、比較することができます。「標本サイズエクスプローラの「設定の保存」」を参照してください。
デフォルトに戻す
すべてのパラメータとグラフをデフォルトの設定にリセットします。
ヘルプ
JMPのオンラインヘルプを開きます。
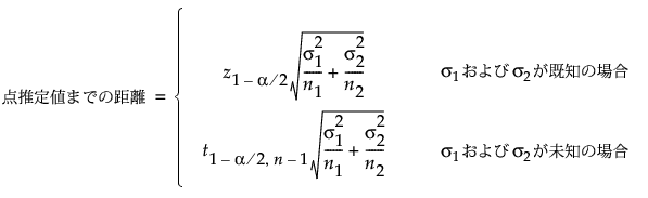
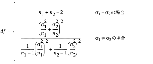
母平均の差に対する信頼区間は、s1およびs2が既知か未知かによって、それぞれ標準正規分布とt分布に基づいて計算されます。
両側信頼区間における信頼区間の幅は、次の式で求められます。

s1およびs2が未知の場合、「点推定値までの距離」は次式で求められます。

ここで、

sが既知の場合、「点推定値までの距離」は次式で求められます。

ここで
aは、有意水準。
z1-αは、正規分布の(1 - a)分位点。
t1-α,ν,は、自由度nのt分布の(1 - a)分位点。
n1およびn2は、各群の標本サイズ。
s1およびs2は、帰無仮説における各群の母標準偏差。