「時系列分析」プラットフォームでは、ARIMAモデル、季節ARIMAモデル、および平滑化法モデルのオプションで同じようなモデルレポートが生成されます。これらのモデル化に関するオプションには、モデルを時系列データにあてはめるコマンドや、あてはめたモデルを使って将来値を予測するコマンドがあります。また、選択したモデルが適切なものかどうかを判断するために統計量および残差を計算するオプションもあります。モデル化のオプションは何度でも選択できます。モデルを選択する度に、そのモデルは「モデルの比較」表に追加されます。「モデルの比較」表で「レポート」チェックボックスがオンになっているモデルに対し、レポートが作成されます。レポートのタイトルにモデルの名前が含まれます。
デフォルトでは、以下のレポートが表示されます。
• 「モデルの要約」表
• 「パラメータ推定値」表
• 予測プロット
• 残差
• 反復の履歴
「モデルの要約」表
モデルの適合度統計量をまとめたものです。以下の説明において、nは系列の長さ、kはモデルのパラメータ数です。
自由度
誤差自由度。n – k。
イノベーション平方和
イノベーションの平方和。
残差平方和
残差の平方和。
分散推定値
イノベーション平方和を自由度(n – k)で割ったもの。これはランダムショックatの分散の推定値です。これについては、ARIMAモデルの節で説明します。
標準偏差
分散推定値の平方根。ランダムショックであるatの標準偏差の推定値です。
赤池の情報量規準
−2×対数尤度 + 2kで計算されるAIC値。AICの値が小さいほど、モデルはよくあてはまっています。
SBC
−2×対数尤度 + k*ln(n)で計算されるSBC値。SBCの値が小さいほど、モデルはよくあてはまっています。Schwarzのベイズ規準はベイズ情報量規準に相当します。
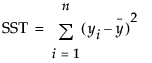
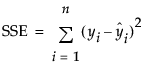
R2乗
次式で計算されるR2乗値。

この式で、


は1期先予測値、
は平均です。
モデルが時系列にあまりよくあてはまっていないと、誤差平方和(SSE)が合計平方和(SST)より大きくなります。その結果、R2がマイナスになることがあります。
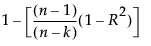
自由度調整R2乗
次式で計算される自由度調整済みR2乗値。

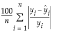
MAPE
次式で計算される平均絶対誤差率(Mean Absolute Percentage Error)値。

MAE
次式で計算される平均絶対誤差(Mean Absolute Error)値。

-2対数尤度
パラメータ推定値に対する尤度関数値の自然対数を-2倍したもの。値が小さいほどよくあてはまっています。『基本的な回帰モデル』の「尤度・AICc・BIC」を参照してください。
定常性
自己回帰演算子が定常性を満たしているかどうか、定常性を満たしているかどうかは、f(z) = 0のすべての根が単位円の外にあるかどうかで判断されます。
反転可能性
移動平均演算子が反転可能性(可逆性)を満たしているかどうか、可逆性を満たしているかどうかは、q(z) = 0のすべての根が単位円の外にあるかどうかで判断されます。
メモ: f演算子とq演算子の定義については、ARIMAモデルの節で説明しています。
「パラメータ推定値」表
時系列モデルパラメータの推定値を表示します。モデルの種類によってパラメータの種類は異なります。パラメータについてはそれぞれの時系列モデルの節を参照してください。「パラメータ推定値」表には、以下の列があります。
項
パラメータの名前。各モデルの節に説明があります。モデルには、切片や平均項を含むものがあり、その場合は関連する定数推定値も表示されます。定数推定値の定義については、ARIMAモデルの説明を参照してください。
因子
(乗法型の季節ARIMAモデルの場合のみ。)そのパラメータを含むモデルの因子。乗法型の季節モデルでは、因子1は季節性がなく、因子2は季節性があります。
ラグ
(ARIMAモデルと季節ARIMAモデルの場合のみ。)ラグの次数。つまり、各パラメータに適用される遅れ演算子の次数です。
推定値
時系列モデルのパラメータ推定値。
標準誤差
パラメータ推定値の標準誤差を推定した値。標準誤差(の推定値)は、検定や予測区間の計算に使用されます。
t値
各パラメータがゼロであるという帰無仮説の検定統計量。パラメータの検定統計量は、パラメータ推定値とその標準誤差の比です。帰無仮説が成立している場合、この統計量はStudentのt分布に近似的に従います。一般に、t値の絶対値が2より大きいと、そのパラメータ推定値は有意であると判定できます。絶対値が2というのは、0.05の有意水準にほぼ相当するからです。
p値(Prob>|t|)
各パラメータに対して計算されたp値。p値は、帰無仮説が正しいという仮定のもとで、現在のデータから計算されている値よりも、絶対値が大きなt値が得られる確率です。
定数推定値
(切片または平均項を含むモデルに対してのみ表示されます。)定数推定値の定義については、ARIMAモデルに関する説明を参照してください。
Mu
(ARIMAモデルと季節ARIMAモデルの場合のみ。)ARIMAモデルまたは季節ARIMAモデルの切片の推定値。
予測
時系列の観測値と予測値を表示するグラフ。縦の線で2つの領域に分割されています。
保留データを指定した場合は、縦の線によって学習データと保留データが区切られます。左側の領域には、1期先予測値が学習データの値と一緒にプロットされます。右側の領域には、2期以上先の予測値が保留データの値と一緒にプロットされます。また、予測区間も表示されます。予測する期数は、プラットフォームの起動ウィンドウの「予測する期数」オプションを使用して変更できます。
保留データを指定しなかった場合は、縦の線によって将来の予測と観測データが区切られます。左側の領域には、1期先予測値が観測値と一緒にプロットされています。右側の領域には、2期以上先の予測値が、その予測区間と一緒に示されます。予測する期数を変更するには、プラットフォームの起動ウィンドウにある「予測する期数」オプションを使用するか、レポートのポップアップメニューにある[予測する期数]を選択して新しい数を入力します。
残差
あてはめたモデルに基づいて残差の値を表示するグラフ。この残差は、時系列の観測値から1期先予測値を引いたものです。残差の自己相関レポートと偏自己相関レポートも表示されます。これらのレポートで、あてはめたモデルが適切かどうかを判断できます。モデルが適切というのは、残差プロットがゼロの線を中心にほぼ正規分布に従い、残差の自己相関と偏自己相関がゼロに近いことです。
保留データでの予測誤差
(保留データを指定した場合にのみ使用可能。)保留データのオブザベーションに関する予測誤差のプロット。誤差の自己相関レポートと偏自己相関レポートも表示されます。
反復の履歴
各反復における目的関数の値を表示します。これを見ると、反復計算における問題点が分かるかもしれません。データに不適切なモデルをあてはめようとすると、反復を続けても計算が収束しないことがあります。「反復の履歴」表には以下の値が表示されます。
反復
反復回数。
反復の履歴
各ステップにおける目的関数の値。
ステップ
反復ステップの種類。
目的関数基準
目的関数の勾配に関する基準。
各「モデル」レポートの赤い三角ボタンのメニューには、それぞれ以下のオプションがあります。
点の表示
予測グラフにデータ点を表示します。
予測区間の表示
予測グラフに予測区間を表示します。
列の保存
新しいデータテーブルを作成し、列にモデルの結果を保存します。
予測式の保存
(保留データを指定した場合は使用できません。)新しいデータテーブルを作成し、データと予測式を保存します。
SASジョブの作成
ARIMAモデルに関する分析をSASシステムで再現するためのSASコードを作成します。
残差統計量
表示される残差統計量の種類を制御します。各種類については「時系列分析」プラットフォームのオプションに説明がありますが、これらのオプションは残差系列に適用されます。
あてはめの削除
レポートから個々のモデルのあてはめを削除します。