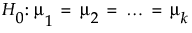
「分散分析の検出力エクスプローラ」では、分散分析での標本サイズや検出力を計算できます。「分散分析の検出力エクスプローラ」を起動するには、[実験計画(DOE)]>[標本サイズエクスプローラ]>[検出力]>[分散分析の検出力]を選択します。ばらつき・標本サイズ・検出力・有意水準・検出したい差におけるトレードオフの関係を調べることができます。ここでの仮説検定は、次のような帰無仮説に対するものです。

両側検定における対立仮説は、次のとおりです。

ここで

ラジオボタン・テキストボックス・メニューによって、実験や調査の仮定(仮説検定に用いる前提)を設定します。それらの設定を変更すると、プロファイルが更新されます。プロファイル上で十字をドラッグすることでも、設定を変更できます。
母平均の配置
対立仮説における母平均(真の母平均)をどのように設定するかのオプションです。検出したい母平均の配置をオプションから選択します。
群平均
各群の母平均を1つ1つ指定します。
群間変動
母平均の群間変動を指定します。
最大差
最大母平均と最小母平均の差(つまり、母平均の差のうち最大のもの)を指定します。
最悪のケース
最大母平均と最小母平均の差を指定します。それら以外のすべての群の母平均は、最小母平均と最大母平均の中間値であると仮定します。
1つを除くすべて
ある群の母平均とその他すべての群の母平均との差を指定します。このとき、その他すべての群の母平均は等しいと仮定します。
設定
アルファ
第1種の誤りの確率(帰無仮説が正しい場合に、その帰無仮説を誤って棄却する確率)です。この値は、一般には、「有意水準」や「α水準」などと呼ばれています。デフォルトの有意水準は0.05です。
群数
実験や調査に含める群数(グループの個数)を指定します。
プロファイルは、標本サイズが検出力の計算にどのような影響を与えるかを示します。
解を求めたい対象:
ここでは何を求めたいかを指定します。標本サイズ、群内変動(誤差分散)、または平均の最大差のいずれかを選択してください。
検出力
帰無仮説が正しくないときに、その帰無仮説を正しく棄却できる確率。その他の設定が同じである場合、標本サイズが大きくなるほど、検出力は増加します。
標本サイズ(1群あたり)
実験や調査において各群に必要な標本サイズ(実験回数・実験ユニット数・観測数など)。
メモ: グループの標本サイズが等しい場合のみに対応しています。
群内変動(s2)
群内の母分散を指定します。すべての群で、母標準偏差は等しいと仮定して計算は行われます。
群平均
(「母平均の配置」を[群平均]に設定した場合のみ使用できます。)帰無仮説の群平均を指定します。「設定」で指定した群ごとにプロファイルとテキストボックスが表示されます。
群間変動
(「母平均の配置」を[群間分散]に設定した場合のみ使用できます。)全体平均からの各群の平均のばらつき。群母平均と全体母平均の差の2乗を1/(K-1)で尺度化した値です。ここで、Kは群数です。
平均の最大差
(「母平均の配置」を[最大差]に設定した場合のみ使用できます。)([1つを除くすべて]または[最悪のケース]での)母平均の最大差を指定します。
「エクスプローラ」の赤い三角ボタンのメニューとレポートのボタンを使って、以下のオプションが使用できます。
シミュレーションデータ
データテーブルが開き、エクスプローラでの設定に基づいてシミュレートしたデータが表示されます。応答列の計算式は、乱数を生成するための計算式となっており、指定された設定に対応したものになっています。
収集用データテーブルの作成
データの収集に使える新しいデータテーブルが作成されます。データテーブルには、データを分析するためのスクリプトも含まれています。
設定の保存
現在の設定が「設定の保存」の表に保存されます。複数の異なる計画を保存して、比較することができます。「標本サイズエクスプローラの「設定の保存」」を参照してください。
デフォルトに戻す
すべてのパラメータとグラフをデフォルトの設定にリセットします。
ヘルプ
JMPのオンラインヘルプを開きます。
ここでの検出力計算は、各群の母分散がすべて等しいと仮定しています。分散分析の検出力は、通常のF検定に基づいて計算されます。検出力(1-b)は、母平均の配置に基づいて計算されます。
群ごとに母平均を指定した場合:

群間変動を指定した場合:

[最悪のケース]で最大差を指定した場合:

[1つを除くすべて]で最大差を指定した場合:

ここで、
F(q, df1, df2, l)は、非心パラメータlを持つ非心F分布。
Kは、群数。
nは、各群の標本サイズ(全群で等しいと仮定)。
N = nK
mkは、対立仮説における各群kの母平均。
s2BGは、群平均と全体平均の差の2乗を1/(K-1)で尺度化した値。
dWCは、最大母平均(群の母平均で最大のもの)と最小母平均(群の母平均で最小のもの)の差。
dABOも、最大母平均(群の母平均で最大のもの)と最小母平均(群の母平均で最小のもの)の差。
s2は、群内分散(誤差分散)。この群内分散は、全群で等しいと仮定。
aは、有意水準。