「一標本平均の同等性の検出力エクスプローラ」では、一標本平均に対する同等性検定・優越性検定・非劣性検定の標本サイズや検出力を計算できます。「一標本平均の同等性の検出力エクスプローラ」を起動するには、[実験計画(DOE)]>[標本サイズエクスプローラ]>[検出力]>[一標本平均の同等性の検出力]を選択します。ばらつき・標本サイズ・検出力・有意水準・同等性マージンにおけるトレードオフの関係を調べることができます。ここでの仮説検定は、次のような帰無仮説に対するものです。
もしくは 
対立仮説:

上の式で、mは母平均、m0は基準値、(dm, dM)は同等性マージンです。優越性検定または非劣性検定の場合は、対立仮説の一方向のみが使用され、片側検定です。有意水準と検出力が一定ならば、より狭いマージンでの同等性を主張したいほど、より大きい標本サイズが必要になります。検出力分析は、母集団での観測値が平均m、標準偏差sの正規分布に従うことを前提として算出されます。
ラジオボタン・テキストボックス・メニューによって、実験や調査の仮定(仮説検定に用いる前提)を設定します。それらの設定を変更すると、プロファイルが更新されます。プロファイル上で十字をドラッグすることでも、設定を変更できます。
検定の種類
検定を指定するためのオプション。
同等性
二標本平均に対する同等性検定の標本サイズや検出力を計算します。
優越性
二標本平均に対する同等性検定の標本サイズや検出力を計算します。
非劣性
二標本平均に対する同等性検定の標本サイズや検出力を計算します。
上側マージン
(同等性検定で使用できます。)同等性とみなす範囲における上限値を指定します。この上限値よりも真の平均差が大きい場合に、実質的な差があるとみなします。
下側マージン
(同等性検定で使用できます。)同等性とみなす範囲における下限値を指定します。この下限値よりも真の平均差が小さい場合に、実質的な差があるとみなします。
上下対称なマージンを使用
(同等性検定で使用できます。)上下対称なマージンを設定します。
メモ: 通常、同等性の範囲は対称です。
検定の向き
(優越性検定・非劣性検定で使用できます。)対立仮説の方向を指定します。
大きい方が良い
対立仮説を「帰無仮説の値より大きい」とします。
小さい方が良い
対立仮説を「帰無仮説の値より小さい」とします。
ヒント: 図を見ることによって、検定が正しく設定されたかを確認することができます。赤色の矢印は帰無仮説で表される区間、青色の矢印は対立仮説で表される区間を表します。
マージン
(優越性検定・非劣性検定で使用できます。)優越性検定や非劣性検定におけるマージンの絶対値を指定します。
設定
検定を指定するためのオプション。
アルファ
第1種の誤りの確率(帰無仮説が正しい場合に、その帰無仮説を誤って棄却する確率)です。この値は、一般には、「有意水準」や「α水準」などと呼ばれています。デフォルトの有意水準は0.05です。
母標準偏差
区間推定おいて、母標準偏差を既知とした区間推定を用いるか、母標準偏差を未知とした区間推定を用いるかを指定します。
Yes
このオプションを選択すると、母標準偏差を既知とした信頼区間の標本サイズが計算されます。この場合、計算にはz分布(標準正規分布)が使用されます。
No
このオプションを選択すると、母標準偏差を未知とした検定の標本サイズや検出力が計算されます。この場合、計算にはt分布が使用されます。
プロファイルは、標本サイズが検出力の計算にどのような影響を与えるかを示します。
解を求めたい対象:
ここでは何を求めたいかを指定します。標本サイズ、検出したい差、母標準偏差のいずれかを選択してください。
検出力
帰無仮説が正しくないときに、その帰無仮説を正しく棄却できる確率。その他の設定が同じである場合、標本サイズが大きくなるほど、検出力は増加します。
標本サイズ
実験に必要な標本サイズ(実験回数・実験ユニット数・試料の個数・観測数など)。
検出したい差
真の平均と仮説平均(平均の基準値)の差がどれぐらいであれば2つの平均を実質的に同等・優越・非劣性とみなすかを指定します。
標準偏差(s)
母標準偏差。
「エクスプローラ」の赤い三角ボタンのメニューとレポートのボタンを使って、以下のオプションが使用できます。
シミュレーションデータ
データテーブルが開き、エクスプローラでの設定に基づいてシミュレートしたデータが表示されます。応答列の計算式は、乱数を生成するための計算式となっており、指定された設定に対応したものになっています。
収集用データテーブルの作成
データの収集に使える新しいデータテーブルが作成されます。データテーブルには、データを分析するためのスクリプトも含まれています。
設定の保存
現在の設定が「設定の保存」の表に保存されます。複数の異なる計画を保存して、比較することができます。「標本サイズエクスプローラの「設定の保存」」を参照してください。
デフォルトに戻す
すべてのパラメータとグラフをデフォルトの設定にリセットします。
ヘルプ
JMPのオンラインヘルプを開きます。
1標本平均に対する同等性検定の検出力計算については、Chow et al.(2008)を参照してください。
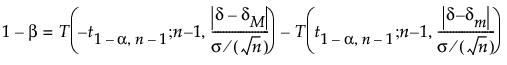
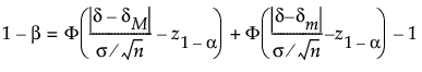
sが既知の場合、検出力(1-b)は次のように求められます。

sが既知の場合、検出力(1-b)は次のように求められます。

ここで
aは、有意水準。
nは、標本サイズ。
sは、母標準偏差。
dは、対立仮説での差(検出したい母平均の差)。
(dm, dM)は、同等性の範囲。
t1-α,n は、自由度nのt分布の(1 - a)分位点。
T(t; n, l)は、自由度nで非心パラメータlを持つ非心t分布の累積分布関数。