「一標本平均の検出力エクスプローラ」では、1つの平均に対する仮説検定での標本サイズや検出力を計算できます。[実験計画(DOE)]>[標本サイズエクスプローラ]>[検出力]>[一標本平均の検出力]を選択します。ばらつき・標本サイズ・検出力・有意水準・検出したい差におけるトレードオフの関係を調べることができます。ここでの仮説検定は、次のような帰無仮説に対するものです。

両側検定における対立仮説は、次のとおりです。

片側検定における対立仮説は、次のとおりです。
もしくは 
ここで、mは母平均、m0は仮説値(帰無仮説における母平均)です。検定で「検出したい差」を、ここではdと記します。これは、「真の母平均」がm0からどれだけ離れているかを示します。有意水準と検出力が一定ならば、より狭いマージンでの同等性を主張したいほど、より大きい標本サイズが必要になります。検出力分析は、母集団での観測値が平均m、標準偏差sの正規分布に従うことを前提として算出されます。
ラジオボタン・テキストボックス・メニューによって、実験や調査の仮定(仮説検定に用いる前提)を設定します。それらの設定を変更すると、プロファイルが更新されます。プロファイル上で十字をドラッグすることでも、設定を変更できます。
検定の種類
仮説検定が片側なのか両側なのかを指定します。
設定
アルファ
第1種の誤りの確率(帰無仮説が正しい場合に、その帰無仮説を誤って棄却する確率)です。この値は、一般には、「有意水準」や「α水準」などと呼ばれています。デフォルトの有意水準は0.05です。
母標準偏差
区間推定おいて、母標準偏差を既知とした区間推定を用いるか、母標準偏差を未知とした区間推定を用いるかを指定します。
Yes
このオプションを選択すると、母標準偏差を既知とした信頼区間の標本サイズが計算されます。この場合、計算にはz分布(標準正規分布)が使用されます。
No
このオプションを選択すると、母標準偏差を未知とした検定の標本サイズや検出力が計算されます。この場合、計算にはt分布が使用されます。
プロファイルは、標本サイズが検出力の計算にどのような影響を与えるかを示します。
解を求めたい対象:
ここでは何を求めたいかを指定します。標本サイズ、検出したい差、母標準偏差のいずれかを選択してください。
検出力
帰無仮説が正しくないときに、その帰無仮説を正しく棄却できる確率。その他の設定が同じである場合、標本サイズが大きくなるほど、検出力は増加します。
標本サイズ
実験に必要な全体の標本サイズ(実験回数・実験ユニット数・試料の個数・観測数など)。
検出したい差
対立仮説での値と仮説平均(帰無仮説での値)との差。仮説検定によって検出したい差。
標準偏差(s)
母標準偏差を指定します。
ヒント: なお、母標準偏差を単位とした差(つまり、検出したい差が母標準偏差の何倍であるか)を「検出したい差」に指定したい場合は、この「標準偏差」を1に設定してください。
「エクスプローラ」の赤い三角ボタンのメニューとレポートのボタンを使って、以下のオプションが使用できます。
シミュレーションデータ
データテーブルが開き、エクスプローラでの設定に基づいてシミュレートしたデータが表示されます。応答列の計算式は、乱数を生成するための計算式となっており、指定された設定に対応したものになっています。
収集用データテーブルの作成
データの収集に使える新しいデータテーブルが作成されます。データテーブルには、データを分析するためのスクリプトも含まれています。
設定の保存
現在の設定が「設定の保存」の表に保存されます。複数の異なる計画を保存して、比較することができます。「標本サイズエクスプローラの「設定の保存」」を参照してください。
デフォルトに戻す
すべてのパラメータとグラフをデフォルトの設定にリセットします。
ヘルプ
JMPのオンラインヘルプを開きます。
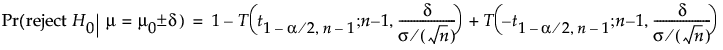
一標本平均の検出力は、sが未知で標本データから推定される場合は、t検定に基づいて計算されます。sが既知の場合は、z検定に基づいて計算されます。sが未知の場合、各対立仮説に対して、次の式に基づき検出力が計算されます。
上片側対立仮説の場合:

下片側対立仮説の場合:

両側対立仮説の場合:

ここで
aは、有意水準。
nは、標本サイズ。
sは、母標準偏差。
dは、対立仮説での差(検出したい母平均の差)。
t1-α,n は、自由度nのt分布の(1 - a)分位点。
T(t; n, l)は、自由度nで非心パラメータlを持つ非心t分布の累積分布関数。
なお、sが既知の場合は、上記の検出力の計算式でz分布が使用されます。上記の式で表される検出力を求めるときには、F分布の累積分布関数が使われます。一方、検出力からdおよびnを求めるときには数値的な探索アルゴリズムが使われます。