「一標本割合の検出力エクスプローラ」では、1つの割合に対する仮説検定での標本サイズや検出力を計算できます。「一標本割合の検出力エクスプローラ」を起動するには、[実験計画(DOE)]>[標本サイズエクスプローラ]>[検出力]>[一標本割合の検出力]を選択します。ばらつき・標本サイズ・検出力・有意水準・検出したい差におけるトレードオフの関係を調べることができます。ここでの仮説検定は、次のような帰無仮説に対するものです。

両側検定における対立仮説は、次のとおりです。

片側検定における対立仮説は、次のとおりです。
もしくは 
ここで、pは母割合、p0は母割合の仮説値(帰無仮説での値)です。
ラジオボタン・テキストボックス・メニューによって、実験や調査の仮定(仮説検定に用いる前提)を設定します。それらの設定を変更すると、プロファイルが更新されます。プロファイル上で十字をドラッグすることでも、設定を変更できます。
検定の種類
仮説検定が片側なのか両側なのかを指定します。
設定
アルファ
第1種の誤りの確率(帰無仮説が正しい場合に、その帰無仮説を誤って棄却する確率)です。この値は、一般には、「有意水準」や「α水準」などと呼ばれています。デフォルトの有意水準は0.05です。
計算方法
二項分布
二項分布(Clopper-Pearson法)によってp値を求める検定について、二項分布に基づき検出力を求めます。
正規近似
正規近似によってp値を求める検定について、正規近似に基づき検出力を求めます。
ヒント: 2項分布は離散分布であるため、名目的な有意水準と、実質的な有意水準(実際の有意水準)は一致しません。特に、標本サイズが小さい場合や、割合が0や1に近い場合には、実際の有意水準が、5%などの名目的な有意水準と、大きくかけ離れることがあります。実質的な有意水準が確実に名目的な有意水準以上になるようにするには、[二項分布]を使用してください。
プロファイルは、標本サイズが検出力の計算にどのような影響を与えるかを示します。
解を求めたい対象:
ここでは何を求めたいかを指定します。標本サイズ、帰無仮説の母割合、真の母割合(対立仮説の母割合)のいずれかを選択してください。
検出力
帰無仮説が正しくないときに、その帰無仮説を正しく棄却できる確率。その他の設定が同じである場合、標本サイズが大きくなるほど、検出力は増加します。
標本サイズ
実験に必要な全体の標本サイズ(実験回数・実験ユニット数・試料の個数・観測数など)。
帰無仮説の割合(p0)
調査や実験で仮定する、帰無仮説における母割合の値。
対立仮説の割合(pA)
検出力の計算で基準とする、対立仮説における母割合の値。
「エクスプローラ」の赤い三角ボタンのメニューとレポートのボタンを使って、以下のオプションが使用できます。
シミュレーションデータ
データテーブルが開き、エクスプローラでの設定に基づいてシミュレートしたデータが表示されます。応答列の計算式は、乱数を生成するための計算式となっており、指定された設定に対応したものになっています。
収集用データテーブルの作成
データの収集に使える新しいデータテーブルが作成されます。データテーブルには、データを分析するためのスクリプトも含まれています。
設定の保存
現在の設定が「設定の保存」の表に保存されます。複数の異なる計画を保存して、比較することができます。「標本サイズエクスプローラの「設定の保存」」を参照してください。
デフォルトに戻す
すべてのパラメータとグラフをデフォルトの設定にリセットします。
ヘルプ
JMPのオンラインヘルプを開きます。
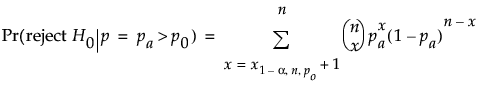
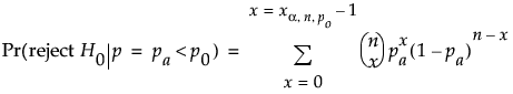
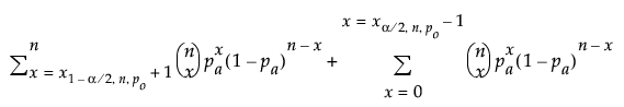
二項分布に基づく計算では、各対立仮説に対して、次のような式で検出力は計算されます。
上片側対立仮説の場合:

下片側対立仮説の場合:

両側対立仮説の場合:


上の式で、xq,n,pは、試行回数n、試行確率pの二項分布で、下側累積確率がq以上となる分位点。
正規分布に基づく計算では、各対立仮説に対して、次のような式で検出力は計算されます。
上片側対立仮説の場合:

下片側対立仮説の場合:

両側対立仮説の場合:

