「一標本分散の検出力エクスプローラ」では、1つの分散に対する仮説検定での標本サイズや検出力を計算できます。「一標本分散の検出力エクスプローラ」を起動するには、[実験計画(DOE)]>[標本サイズエクスプローラ]>[検出力]>[一標本分散の検出力]を選択します。標本サイズ・検出力・有意水準・検出したい分散比(帰無仮説の分散に対する対立仮説の分散の比)におけるトレードオフの関係を調べることができます。ここでの仮説検定は、次のような帰無仮説に対するものです。

両側検定における対立仮説は、次のとおりです。

片側検定における対立仮説は、次のとおりです。
もしくは 
上の式で、s2は母分散です。s20は、帰無仮説における母分散(母分散の基準値)です。母分散s2が帰無仮説の値と異なっている場合に、その違いを検出することが、この仮説検定の目的です。その違いは、帰無仮説での母分散と対立仮説での母分散の比で表します。有意水準と検出力が一定ならば、母分散比が1に近いほど、その違いを検出するには、より大きい標本サイズが必要になります。検出力分析は、母集団での観測値が平均m、標準偏差s2の正規分布に従うことを前提として算出されます。
ラジオボタン・テキストボックス・メニューによって、実験や調査の仮定(仮説検定に用いる前提)を設定します。それらの設定を変更すると、プロファイルが更新されます。プロファイル上で十字をドラッグすることでも、設定を変更できます。
検定の種類
仮説検定が片側なのか両側なのかを指定します。
設定
アルファ
第1種の誤りの確率(帰無仮説が正しい場合に、その帰無仮説を誤って棄却する確率)です。この値は、一般には、「有意水準」や「α水準」などと呼ばれています。デフォルトの有意水準は0.05です。
プロファイルは、標本サイズが検出力の計算にどのような影響を与えるかを示します。
解を求めたい対象:
ここでは何を求めたいかを指定します。標本サイズまたは分散比のいずれかを選択してください。
検出力
帰無仮説が正しくないときに、その帰無仮説を正しく棄却できる確率。その他の設定が同じである場合、標本サイズが大きくなるほど、検出力は増加します。
標本サイズ
実験に必要な全体の標本サイズ(実験回数・実験ユニット数・試料の個数・観測数など)。
分散比
帰無仮説における母分散(基準となる母分散)に対する対立仮説における母分散(真の母分散)の比を指定します。
「エクスプローラ」の赤い三角ボタンのメニューとレポートのボタンを使って、以下のオプションが使用できます。
シミュレーションデータ
データテーブルが開き、エクスプローラでの設定に基づいてシミュレートしたデータが表示されます。応答列の計算式は、乱数を生成するための計算式となっており、指定された設定に対応したものになっています。
収集用データテーブルの作成
データの収集に使える新しいデータテーブルが作成されます。データテーブルには、データを分析するためのスクリプトも含まれています。
設定の保存
現在の設定が「設定の保存」の表に保存されます。複数の異なる計画を保存して、比較することができます。「標本サイズエクスプローラの「設定の保存」」を参照してください。
デフォルトに戻す
すべてのパラメータとグラフをデフォルトの設定にリセットします。
ヘルプ
JMPのオンラインヘルプを開きます。
一標本分散に対する検定の検出力は、c2検定に基づいて計算されます。各対立仮説に対して、次の式で検出力は計算されます。
上片側対立仮説の場合(s2 > s20):

下片側対立仮説の場合(s < s0):

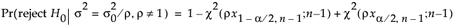
両側対立仮説の場合(s ≠ s0):

ここで
aは、有意水準。
nは、標本サイズ。
r = s2a / s02
x1-α,n は、自由度nのc2 分布の(1 - a)分位点。
c2(x, n)は、自由度nのc2分布の累積分布関数。