「独立二標本平均の検出力エクスプローラ」では、独立な2つの標本の平均に対する仮説検定での標本サイズや検出力を計算できます。「独立二標本平均の検出力エクスプローラ」を起動するには、[実験計画(DOE)]>[標本サイズエクスプローラ]>[検出力]>[独立二標本平均の検出力]を選択します。ばらつき・標本サイズ・検出力・有意水準・検出したい差におけるトレードオフの関係を調べることができます。ここでの仮説検定は、次のような帰無仮説に対するものです。

両側検定における対立仮説は、次のとおりです。

片側検定における対立仮説は、次のとおりです。
もしくは 
ここで、m1およびm2は、2つの母集団の母平均です。ここでの計算は、母集団分布が正規分布であることを前提としています。そして、dの差を検出するのに必要な標本サイズを求めます。
ラジオボタン・テキストボックス・メニューによって、実験や調査の仮定(仮説検定に用いる前提)を設定します。それらの設定を変更すると、プロファイルが更新されます。プロファイル上で十字をドラッグすることでも、設定を変更できます。
検定の種類
仮説検定が片側なのか両側なのかを指定します。
設定
アルファ
第1種の誤りの確率(帰無仮説が正しい場合に、その帰無仮説を誤って棄却する確率)です。この値は、一般には、「有意水準」や「α水準」などと呼ばれています。デフォルトの有意水準は0.05です。
母標準偏差
検定において、母標準偏差を既知とした検定を用いるか、母標準偏差を未知とした検定を用いるかを指定します。
Yes
このオプションを選択すると、母標準偏差を既知とした区間推定の標本サイズが計算されます。この場合、計算にはz分布(標準正規分布)が使われます。
No
このオプションを選択すると、母標準偏差を未知とした検定の標本サイズや検出力が計算されます。この場合、計算にはt分布が使われます。
プロファイルは、標本サイズが検出力の計算にどのような影響を与えるかを示します。
全体の標本サイズ
実験に必要な全体の標本サイズ(実験回数・実験ユニット数・試料の個数・観測数など)。全体の標本サイズを固定するには、[ロック]を選択します。
解を求めたい対象:
ここでは何を求めたいかを指定します。標本サイズ、検出したい差、母標準偏差のいずれかを選択してください。
検出力
帰無仮説が正しくないときに、その帰無仮説を正しく棄却できる確率。その他の設定が同じである場合、標本サイズが大きくなるほど、検出力は増加します。
群1の標本サイズ
実験や調査において群1で必要な標本サイズ(実験回数・実験ユニット数・試料の個数・観測数など)。
群2の標本サイズ
実験において群2で必要な標本サイズ(実験回数・実験ユニット数・試料の個数・観測数など)。
検出したい差
対立仮説における母平均の差。統計的検定によって検出したい平均差。
群1の標準偏差(s1)
群1の母標準偏差(群1に対して想定される母標準偏偏差)。この母標準偏差に指定する値としては、これまでに行った、大規模な類似の実験や調査から計算されたRMSE(平均2乗誤差の平方根)を用いることが考えられます。
群2の標準偏差(s2)
群2の母標準偏差(群2に対して想定される母標準偏偏差)。この母標準偏差に指定する値としては、これまでに行った、大規模な類似の実験や調査から計算されたRMSE(平均2乗誤差の平方根)を用いることが考えられます。
メモ: 全体の標本サイズがロックされていない限り、一方の群の標本サイズを変更すると全体の標本サイズも変化します。全体の標本サイズがロックされている場合、一方の群の標本サイズを変更すると他方の群の標本サイズも変化します。群の標本サイズを指定するには、テキストボックスを使います。
「エクスプローラ」の赤い三角ボタンのメニューとレポートのボタンを使って、以下のオプションが使用できます。
シミュレーションデータ
データテーブルが開き、エクスプローラでの設定に基づいてシミュレートしたデータが表示されます。応答列の計算式は、乱数を生成するための計算式となっており、指定された設定に対応したものになっています。
収集用データテーブルの作成
データの収集に使える新しいデータテーブルが作成されます。データテーブルには、データを分析するためのスクリプトも含まれています。
設定の保存
現在の設定が「設定の保存」の表に保存されます。複数の異なる計画を保存して、比較することができます。「標本サイズエクスプローラの「設定の保存」」を参照してください。
デフォルトに戻す
すべてのパラメータとグラフをデフォルトの設定にリセットします。
ヘルプ
JMPのオンラインヘルプを開きます。
2群の平均差に対する検定の検出力は、通常のt検定か、s1およびs2が既知の場合はz検定に基づいて計算されます。
群の分散が未知で、s1=s2=sと仮定する場合は、各対立仮説に対して次のように検出力が求められます。
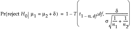
上片側対立仮説の場合(m1 > m2):

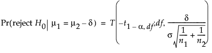
下片側対立仮説の場合(m1 < m2):

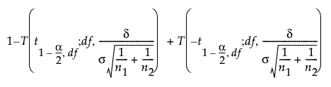
両側対立仮説の場合(m1 ≠ m2):


ここで
aは、有意水準。
n1およびn2は、各群の標本サイズ。
sは、両群で共通の母標準偏差。
dは、対立仮説での差(検出したい母平均の差)。
t1-α,n は、自由度nのt分布の(1 - a)分位点。
T(t; n, l)は、自由度nで非心パラメータlを持つ非心t分布の累積分布関数。
以上は分散が等しい場合ですが、分散が異なる場合は違う計算式が使われます。特に自由度において、分散が等しい場合は自由度はn1 + n2 -2ですが、分散が異なる場合は以下のSatterthwaite近似による自由度が使われます。

分散が等しい場合、この方法で算出される検出力は保守的です。しかし、異なる分散を仮定して計算された検出力は、分散が等しいと仮定した場合より、標本サイズが等分散の仮定からの逸脱について、頑健(ロバスト)になります。
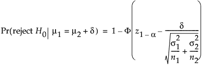
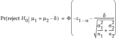
s1およびs2が既知の場合は、z分布を使って検出力が計算されます。各対立仮説に対して、検出力は次のように求められます。
上片側対立仮説の場合(m1 > m2):

下片側対立仮説の場合(m1 < m2):

両側対立仮説の場合(m1 ≠ m2):

ここで
aは、有意水準。
n1およびn2は、各群の標本サイズ。
s1およびs2は、各群の既知である母標準偏差。
dは、対立仮説での差(検出したい母平均の差)。
z1-αは、z分布の(1 - a)分位点。
F(x)は、正規分布の累積分布関数。