「シグマクオリティ水準のエクスプローラ」では、不適合数、機会数、シグマクオリティの水準の関係を調べることができます。シグマクオリティの水準は、与えられた不適合率をシックスシグマで表した統計量です。たとえば、機会数が100万回であるときに不適合が3.4回しか起こらなければは、シックスシグマに相当します。[実験計画(DOE)]>[標本サイズエクスプローラ]>[品質]>[シグマクオリティの水準]を選択します。
プロファイルは、標本サイズがシグマクオリティの水準の計算にどのような影響を与えるかを示します。
解を求めたい対象:
ここでは何を求めたいかを指定します。機会数または不適合数のいずれかを選択してください。
シグマクオリティの水準
不適合率を、標準偏差を単位として表したもの。
機会数
不適合が起こり得る機会の数。
不適合数
不適合の数。
「エクスプローラ」の赤い三角ボタンのメニューとレポートのボタンを使って、以下のオプションが使用できます。
シミュレーションデータ
データテーブルが開き、エクスプローラでの設定に基づいてシミュレートしたデータが表示されます。応答列の計算式は、乱数を生成するための計算式となっており、指定された設定に対応したものになっています。
収集用データテーブルの作成
データの収集に使える新しいデータテーブルが作成されます。データテーブルには、データを分析するためのスクリプトも含まれています。
設定の保存
現在の設定が「設定の保存」の表に保存されます。複数の異なる計画を保存して、比較することができます。「標本サイズエクスプローラの「設定の保存」」を参照してください。
デフォルトに戻す
すべてのパラメータとグラフをデフォルトの設定にリセットします。
ヘルプ
JMPのオンラインヘルプを開きます。
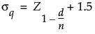
[シグマクオリティの水準]は、機会数をn、不適合数をdとしたときのシグマクオリティの水準sqの定義に基づいて計算されます。

この定義から、dとnを次のように求めることができます。


ここで、F()は標準正規分布の累積分布関数、 Z1-d/nは、標準正規分布の(1 - d/n)番目の分位点です。