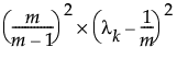
m個のカテゴリカルな変数に対する多重対応分析における通常の慣性は、Burt表から計算される固有値(これを、lkと記します)です。これはLの対角要素です。こうして計算された慣性は、データに適合していても、過度に小さくなってしまうという欠点があります。Benzécri(1979)は、この欠点を補うために、次のような慣性の調整を提案しました。この調整済み慣性は、Greenacre(1984, p. 145)でも説明されています。
この式で
各調整済み慣性の割合を計算するにあたっては、1/mより大きい慣性だけを用いて、調整済み慣性の和に対する各調整済み慣性の割合が計算されます。
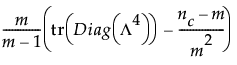
Greenacre(1984, p. 156)は、Benzécriが提案した方法では、逆に、適合度を過大に評価してしまうと指摘しました。Greenacreは、次のような方法で計算した値を分母にして、調整済み慣性の割合を計算することを提案しました。

これを、1/mより大きいすべての慣性について計算します。この式で、tr(Diag(L2))は慣性の平方和、ncはm個の変数すべてにおけるカテゴリの合計数です。