公開日: 04/21/2025

CochranのQ検定の統計的詳細

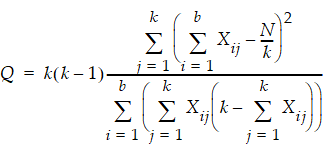
「多重対応分析」プラットフォームでは、CochranのQ検定を使用できます。CochranのQ検定の統計量は、次のように求められます。

Image shown here

ここで、

kは、処置の数

bは、ブロック数

Xijは、i番目のブロックのk番目の処置に対する応答(0または1)

Nは、すべてのブロックおよび処置を通じた、応答が1であるものの合計度数

より詳細な情報が必要な場合や、質問があるときは、JMPユーザーコミュニティで答えを見つけましょう (community.jmp.com).