推定法の統計的詳細「モデルのあてはめ」プラットフォームの[一般化回帰]手法の推定法には、罰則付き回帰が含まれます。この手法では、回帰係数に罰則を課すことによって、推定にバイアス(偏り)が生じます。
リッジ回帰リッジ回帰では、回帰係数にl2ペナルティが適用されます。この係数の推定値は、次のように定義されます。
、
この式で、
はl2ペナルティ。lは調整パラメータ、Nは行数、pは変数の数です。
Dantzig選択器Dantzig選択器では、残差とX列の内積にl∞ノルムが適用されます。Dantzig選択器の推定値は、次のように求められます。

この式で、
はl∞ノルムを、
はl1ペナルティを、tは調整パラメータを表します。l∞ノルムは、v ベクトルにおける要素の絶対値のうち最大のものです。
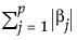
Lasso回帰Lasso回帰では、回帰係数にl1ペナルティが適用されます。この係数の推定値は、次のように定義されます。
、
この式で、
はl1ペナルティ。lは調整パラメータ、Nは行数、pは変数の数です。
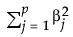
弾性ネット弾性ネットは、l1とl2の両ペナルティを組み合わせたものが使われます。弾性ネットの係数の推定値は、次のように定義されます。
、
この式で使われている記号は次のとおりです。
は、l1ペナルティ
は、l2ペナルティ
lは、調整パラメータ
aは、l1ペナルティとl2ペナルティの配分を決定するパラメータ
Nは、標本サイズ
pは、変数の個数
ヒント: 説明変数が1つしかない弾性ネットモデルで、aとlを変化させたときの縮小効果を示す2つのサンプルスクリプトがあります。[ヘルプ]>[サンプルの索引]を選択し、「サンプルの索引」の赤い三角ボタンをクリックし、[サンプルを開く]>[スクリプト]をクリックして、[demoElasticNetAlphaLambda.jsl]または[demoElasticNetAlphaLambda2.jsl]を選択してください。それぞれのスクリプトの先頭に、使用法と表示される内容説明が(英語で)記載されています。
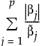
適応型手法適応型Lassoの手法では、重み付きのペナルティを使って、一致推定値を求めます。重み付きのl1ペナルティの計算式は次のとおりです。

この式で、
は、最尤推定値が存在する場合は最尤推定値です。応答変数の確率分布として正規分布を指定したときで、最尤推定値が存在しない場合には、
には一般化逆行列を使って求めた最小2乗推定解が使われます。応答変数の確率分布として正規分布以外のものを指定したときで、最尤推定値が存在しない場合には、
にはリッジ回帰の解が使われます。
適応型Lassoの場合、この重み付きl1ペナルティを使って、
係数が決定されます。
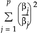
適応型弾性ネットの場合は、この重み付きl1ペナルティを使い、さらにl2ペナルティにも重みを付けます。適応型弾性ネットの重み付きl2ペナルティの計算式は次のとおりです。

この式で、
は、最尤推定値が存在する場合は最尤推定値です。応答変数の確率分布として正規分布を指定したときで、最尤推定値が存在しない場合には、
には一般化逆行列を使って求めた最小2乗推定解が使われます。応答変数の確率分布として正規分布以外のものを指定したときで、最尤推定値が存在しない場合には、
にはリッジ回帰の解が使われます。