外挿の抑制指標の統計的詳細予測プロファイルの[外挿の抑制]オプションでは、以下に述べる2つの指標のいずれかによって、点が外挿であるかどうかが判断されます。分析の種類によって、2つの指標のいずれが使われるかが異なります。
「モデルのあてはめ」プラットフォームの[標準最小2乗]手法では、てこ比がデフォルトの外挿指標として使用されます。
i番目の観測のてこ比hiiは、X(X′X)-1X′という行列のi番目の対角要素(ハット値)です。新しい予測点のてこ比は、次の式で計算されます: hpred = x′pred(X′X)-1xpred。てこ比がhpredである予測が外挿かどうかを判断するために、次の2つの基準を使用できます。
• hpred > K × max(hii)。ここで、Kは、分析者が指定する乗数です
• hpred > L × p/n。ここで、Lは分析者が指定する乗数、pは変数の個数、nは観測数、p/nは平均てこ比です
「閾値の基準を設定」オプションを使用して、使用する基準および乗数の値を指定できます。乗数のデフォルト値は、K = 1およびL = 3です。
メモ: 保存された最小2乗法モデルを使用して[グラフ]メニューからプロファイルに対する外挿の抑制を実行する場合、てこ比の方法は使用されません。代わりに、正則化されたHotellingのT2方法が使用されます。
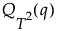
最小2乗法以外のモデルでは、正則化されたHotellingのT2の値がデフォルトの外挿指標として使用されます。学習データのT2値と予測点のT2値は、次のように計算されます。


ここで、
は、学習データから推定された、Schafer and Strimmerの正則化共分散行列です。ここでのSchafer-Strimmer正則化共分散行列の計算に使用される目標行列は、対角共分散行列です。Schafer and Strimmer(2005)を参照してください。欠測値のある行もモデルの学習に使われるプラットフォームでは、欠測値をペアワイズ法で処理して共分散行列は計算されます。
メモ: なお、カテゴリカル変数は指示変数に変換されます。
学習データでの、欠測値にならないT2の個数によって、以下のように閾値は計算されます。
• 欠測値でないT2が10個以上ある場合、閾値は次のように設定されます。

ここで、
Kは、分析者が指定する乗数。デフォルトは3
はT2の標準偏差
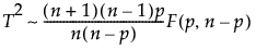
• 欠測値でないT2が10個未満の場合、閾値はKsに相当する分位点が、F分布の分位点から計算されて、設定されます。

ここで、
q = F(K)
F(·)は標準正規分布
Kは、分析者が指定する乗数。デフォルトは3

pは、パラメータの個数
nは、欠測値でないT2の個数
[外挿抑制の指標]オプションとして[K近傍法]を選択した場合、外挿指標と閾値の両方に計算にk番目の近傍点までの距離が使用されます。以下では、次の記号を使います。
= 標準化した説明変数の行列
xi = データのi番目の点
n = 観測数
p = 説明変数の個数
k = 近傍点の個数
d(x, x′) = 2点間のユークリッド距離
= i番目の点 xiにおけるk番目の近傍点
xで定義された因子設定の場合、外挿指標はd(x, x(1))です。これは、因子設定で定義された点とデータ内の最初の近傍点との距離です。閾値は以下の式で設定されます。

ここで、
は、「各点におけるk番目の近傍点までの距離」の、データのすべての点およびk番目までの近傍点での平均です。
は、「各点におけるk番目の近傍点までの距離」の、データのすべての点およびk番目までの近傍点での標準偏差です。