管理図ビルダーにおけるG管理図では、シグマ値の計算に負の二項分布が使用されます。負の二項分布は、幾何分布やPoisson分布を拡張した分布です。Poisson分布に基づいて計算される理論的な分散よりもデータの分散が大きいときに、負の二項分布が使われます。負の二項分布に基づく管理限界としては、一般的には、正確に求める方法と、近似的に求める方法があります。近似的な管理限界は、負の二項分布をカイ2乗分布で近似します。なお、サブグループの標本サイズにかかわらず、すべてのデータが個々の測定値として処理されます。
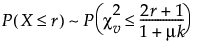
Xが(m, k)をパラメータとする負の二項分布に従うとした場合、次式が近似的に成り立ちます。このとき、次のような式が成立します。

ここで
は、自由度v = 2m/(1+mk)のカイ2乗分布に従う変数。
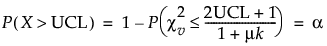
この式に従い、近似的な上側管理限界と下側管理限界を求めることができます。片側の有意水準(片側方向で第1種の誤りを犯す確率)がaであるとき、近似的な上側管理限界(UCL)は次式を満たします。

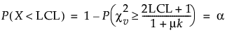
同様に、近似的な下側管理限界(LCL)は次式を満たします。

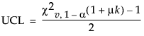
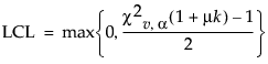
したがって、近似的な下限管理限界(LCL)と上限管理限界(UCL)は、それぞれ次のように計算されます。


ここで
および
は、自由度がv = 2m/(1+mk)であるカイ2乗分布の上側パーセント点(および下側パーセント点)です。なお、下側管理限界が負の数になった場合は0に設定されます。
負の二項分布に従う管理限界については、Hoffman(2003)を参照してください。