「多変量管理図」プラットフォームを使用して、個々のデータ、またはサブグループ化されていない測定値を分析することができます。こうした種類の測定では、サブグループの標本サイズはn = 1になります。全体の標本サイズをm、測定対象となっている特性の数をpとします。T2統計量は、観測(オブザベーション)ごとに計算され、プロットされます。T2統計量と上側管理限界(UCL; Upper Control Limit)の計算式は、目標統計量を求めたデータの種類によって異なります。フェーズI管理図の管理限界は、管理図上にプロットされたのと同じデータから計算されます。フェーズII管理図の管理限界は、履歴データから求めた目標統計量に基づいて計算されます。HotellingのT2管理図のT2統計量と管理限界の詳しい計算方法については、Montgomery(2013)を参照してください。
フェーズI管理図では、i番目の観測のT2統計量は、次式により計算されます。

ここで
Yiは、i番目の観測における、p個の測定値を含む列ベクトル。
は、p個の変数における標本平均の列ベクトル。
S-1は、標本共分散行列の逆行列。
i番目の観測に対するTi2が、多変量管理図上に点としてプロットされます。
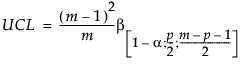
フェーズIの管理限界を計算する際、上側管理限界(UCL)は、ベータ分布に基づきます。上側管理限界は、次式により計算されます。

ここで
p = 変数の個数
m = 観測数
=
をパラメータとするベータ分布の(1–a)分位点
フェーズII管理図を求めるのに用いる履歴データをXとします。その場合、i番目の観測におけるT2統計量は、次式により計算されます。

ここで
Yiは、i番目の観測における、p個の測定値を含む列ベクトル。
は、履歴データセットから求めたp個の変数における標本平均の列ベクトル。
SX-1は、履歴データから求めた標本共分散行列の逆行列。
i番目の観測に対するTi2が、多変量管理図上に点としてプロットされます。
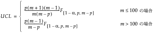
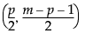
フェーズIIの管理限界を計算する際、新しい観測データは履歴データからは独立しています。この場合、上側管理限界(UCL)はF分布の関数となり、目標値の計算に使用した履歴データの観測数によってその定義は異なります。UCLは、次式により計算されます。

ここで
p = 変数の個数
m = 履歴データにおける観測数
= F
分布の第(1–a)分位点