ここでは、「モデルに基づく多変量管理図」プラットフォームの監視の統計量の計算を取り上げます。
T2管理図には、i番目の観測から求められた
値が上にプロットされます。履歴データおよび現在データに対して、k個の成分を持つPCAモデル(主成分分析モデル)やPLSモデルにおいて、T2値は、次のように定義されます。

ここで
ti = i番目の観測における、k個のスコアからなるベクトル
Sk = 履歴データでのk個のスコアから計算された標本共分散行列(この行列は、対角行列です)
主成分分析モデルの場合、Skは、対角要素が固有値となっています。
PCAやPLSを計算するにあたりデータが中心化されている場合には、k個のスコアにおける各々の平均は0です。相関行列もしくは共分散行列に対するPCAや、中心化をしたPLSでは、上記のような平均化が行われます。Xが中心化されていない場合には、データがユーザーによって中心化されたものと仮定され、k個のスコアの各々の平均が0になります。HotellingのT2の詳細については、Montgomery(2013)を参照してください。
PCAモデルとPLSモデルでは、前処理されたX行列は次のように分解できます。

ここで、Tk = (t1, ..., tk)は、k次元スコア行列で、Pk = (p1, ..., pk)は、PCAモデルの場合は最初のk個の固有ベクトルを持つ行列、また、PLSモデルの場合は負荷量行列です。このPCAまたはPLSモデルの2乗予測誤差(SPE)がSPE管理図に使用されます。
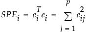
SPE管理図には、i番目の観測値から求められたSPEiの値がプロットされます。2乗予測誤差(SPE)は次のように定義されます。

ここで、
ei = 観測値iの残差ベクトル
p = 変数の個数
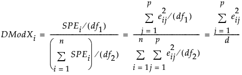
DModX管理図には、iの観測値から求められたDModXiの値がプロットされます。Xモデルまでの正規化した距離(DModX)は次のように定義されます。

ここで、
eij = 観測値i、変数jの残差
df1 = p−k
データが中心化されている場合は、df2 = (n−k−1)(p−k)、データが中心化されていない場合は、 (n−k)(p−k)
n = 履歴データの観測数
k = PCA成分またはPLS成分の個数
p = 変数の個数
メモ: DModXiは、SPEiを1/dで尺度化した値です。