「多変量の相関」プラットフォームには、ノンパラメトリックな関連の指標として、Spearman、Kendall、Hoeffdingの3つの相関係数があります。これらの相関係数の計算では、データにまず順位がつけられ、その順位に対して計算が行われます。値が同じデータには(同順位のデータには)、平均順位を使用します。
メモ: [重み]変数を指定した場合、重みが欠測値および0である行は、ノンパラメトリックな相関係数の計算から除外されます。その他の重みの値はすべて1として扱われます。
Spearmanの順位相関係数(r)は、前述したPearsonの相関係数の計算式に、データの順位を代入して計算されます。
Kendallの順位相関係数(tb)は、大小関係の一致したペアと一致しないペアの数に基づいて計算されます。データから行のペアを取り出し、大小関係が両方の変数で一致しているとき、そのペアは一致している(concordant)といいます。大小関係が一致しているペア、一致しないペア、および、同順位のペアの個数から計算は行われます。
Kendallの順位相関係数(tb)は、次式により求められます。

分母における各記号は、以下のように計算されます。

次のことを注意してください。
• sgn(z)は、z>0のとき1、z=0のとき0、z<0のとき-1です。
• ti(またはui)は、x(またはy)が同順位である、x (またはy)値のi番目のグループにおける個数です。
• nは、全体の標本サイズです。
• Kendallの順位相関係数(tb)の値は、-1~1の間になります。重み変数は、指定してあっても無視されます。
計算は次のように行われます。
• 第1変数の値に基づき、各行に対して順位を求めます。
• 次に、第2変数の値に基づき、各行に対して順位を求めます。
• 順位が変わった個数をもとに、Kendallの順位相関係数(tb)は求められます。
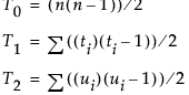
HoeffdingのD統計量(1948)は、以下の式で計算されます。

ここで

次のことを注意してください。
• RiとSiは、xとyの順位です。
• Qi(二変量順位とも呼ぶ)は、xとyの両方の値がi番目の点より小さい点の個数を数え、それに1を足したものです。
• x値またはy値のどちらか一方だけで同順位である点の場合、もう片方の値がi番目のデータより小さいときに、Qiに1/2だけ寄与します。xとyの両方が同順位である点は、Qiに1/4だけ寄与します。
観測値に同順位がない場合、D統計量の値は-0.5~1で、1の値は完全な従属を示します。重み変数は、指定してあっても無視されます。