ここでは、「モデルのあてはめ」プラットフォームで計算されるオッズ比について詳しく説明します。
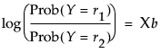
2水準の応答に対するロジスティック回帰モデルは、次のような式で表されます。
(この式で、r1は第1番目、r2は第2番目の応答水準です。)
したがって、オッズは次のように定義されます。

ここで、exp(bi(Xi + 1)) = exp(biXi) exp(bi)が成り立ちます。つまり、Xiが1単位だけ変化すると、オッズ比はexp(bi)倍になります。この値を単位オッズ比といいます。Xiが範囲全体にわたって変化したとき、オッズ比はexp((Xhigh - Xlow)bi)倍になります。この値を範囲オッズ比といいます。2水準の応答では、逆の水準における対数オッズ比は符号を逆にするだけです(オッズ比は、逆数になります)。つまり、最初の水準ではなく2番目の水準に注目するならば、対数オッズ比の符号を逆にするだけです。
名義尺度の効果が2水準の場合は、第1水準が1、第2水準が-1にコード化されるので、範囲オッズ比の逆数がもう一方の範囲オッズ比になります。
[オッズ比]オプションを選択すると、プロファイル尤度法でオッズ比の信頼区間が計算されます。ただし、尤度比検定の計算にかかる時間が20秒を超えると予想されるときはWald法で信頼区間が計算されます。「オッズ比」レポートの末尾に、オッズ比の信頼区間がどの方法で算出されたかが表示されます。