基本的な統計分析 > 二変量分析 > 「二変量」プラットフォームの統計的詳細 > 「二変量正規楕円」レポートの統計的詳細
公開日: 04/21/2025

「二変量正規楕円」レポートの統計的詳細

この節では、「二変量」プラットフォームの「二変量正規楕円」レポートについて詳しく解説します。

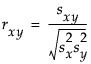
このレポートに表示される相関は、Pearsonの相関係数です。Pearsonの相関係数は、"r"という記号で表されることが多いです。次式で計算されます。

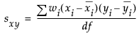
Equation shown here ここで、Equation shown here

この式のwiは、「重み」列を指定してあるときはi番目の観測(オブザベーション)における重みであり、「重み」列がないときは1です。

より詳細な情報が必要な場合や、質問があるときは、JMPユーザーコミュニティで答えを見つけましょう (community.jmp.com).